爱因斯坦早在1911年就已经预言:光线路过大质量天体附近的时候,会发生弯曲,光线会沿着时空的曲率行进。因为在爱因斯坦看来,所谓的引力,就是时空弯曲,并不是真正的“力”,那么该如何验证这一点呢?一般的物体,质量都微不足道,引起的空间弯曲根本不值一提,没有办法被仪器测量到。假如能方便地测量,也轮不到爱因斯坦来鼓捣相对论了。只有太阳这种大质量天体,才会引起光线的一点点偏折。光线越靠近太阳,偏折越厉害,但是靠得再近,偏折也是以秒来计量的,数值微乎其微。圆周360度,1度可以等分成60分,1分可以分成60秒,可见秒是个非常小的角度单位。因此,观测到光线的偏折非常不容易,观测方法就像下面的图片(图10-1)示意的那样。

图10-1 空间弯曲导致光线偏折示意
假如能看到太阳旁边的那一颗星星,然后记录它在星空里相对于其他星星的位置,等过了半年,太阳离开了那个区域,我们就可以在晚上看到那颗星星,再来测量一下那个星星的位置,看看有没有差异,这样就可以测出光线偏折了多少。当然,爱因斯坦也知道,假如太阳在那颗星星旁边,是没法测量的。因为这是大白天,在耀眼的太阳附近看星星根本不可能。1913年,爱因斯坦又用新方法重新计算了一遍,发现结论比过去计算的结果要大一倍,他又开始心痒痒了。正巧也不知道是哪个好事者说白天能看见星星,爱因斯坦就来了兴致,他问苏黎世工业大学的天文学教授莫特:“白天看星星这事儿行不行啊?”莫特差点笑喷了,这是常识好不好啊,白天看星星怎么可能啊,除非脑袋被人打了一闷棍,眼冒“金星”。只有耐着性子等到明年8月21号日全食发生的时候才能检验一下,看理论计算是否是正确的。
爱因斯坦又给美国威尔逊山天文台的海耳台长写了一封信,询问白天能否看见星星的问题。莫特一看,恐怕人家海耳会把他当做疯子不予理睬的,于是就在这封信后边写了好多客气话,又把苏黎世工学院的公章给盖上了。这算是公函,你总不能不回复吧?结果可想而知,人家海尔台长估计看到来信哭笑不得,最后还真的回了一封信,说白天看星星显然是胡扯。这下爱因斯坦便不得不耐着性子等待这次日全食的来临了。
1914年,爱因斯坦大搬家到了柏林。他一边继续计算场方程,一边等待着日全食的到来。好几支远征队要去观测日全食,有去俄国的,有去美国加州的,也有去南美的。爱因斯坦迫切希望他们能成功观测到光线偏移,但是人算不如天算,1914年6月28日,一声枪响改变了无数欧洲人的命运,上百万年轻人将命丧黄泉。奥匈帝国的王储斐迪南大公夫妇,在萨拉热窝遇刺身亡。
一开始大家也没觉得这一次刺杀能引起世界大战,毕竟欧洲已经和平了很多年。人死了,无外乎道歉、谢罪、赔钱,惩办凶手。普通老百姓哪知道,巴尔干半岛早已成了一个火药桶。斐迪南大公去萨拉热窝之前已经见过了德国皇帝威廉二世,他们早想在巴尔干半岛用兵了,斐迪南这次来就是为了搞一次军事演习,好好吓唬吓唬塞尔维亚,顺便到萨拉热窝视察。这倒好,一下子把塞尔维亚的民族主义者给激怒了,刺客普林西普抬手几枪打死了费迪南大公夫妇。而德国那边早就按捺不住了,打!大打出手!这是千载良机。奥匈帝国的老国王弗兰茨本来就很犹豫,何苦呢?反正斐迪南大公也不是他亲儿子,他跟茜茜公主的孩子早就不在了。皇太子,也就是他们的亲儿子鲁道夫,在三十岁的时候跟女友在一处行宫里殉情自杀身亡。茜茜公主作为母亲心碎欲绝,得了严重的抑郁症,后半辈子只穿黑色衣服。1898年,有个恐怖分子本来想刺杀奥尔良亲王,但奥尔良亲王临时离开了,刺客偶然又在报纸上看到茜茜公主正在本地旅行,就用一把磨尖的锉刀刺杀了茜茜公主。弗兰茨皇帝非常难过,亲人的厄运总是接二连三地降临,他弟弟在南美也是被人暗杀身亡的。
哈布斯堡王朝不仅家族成员屡屡传出噩耗,国家也是日渐衰败,弗兰茨皇帝为了治理这个多民族的帝国已经操碎了心,他可以娴熟地使用奥匈帝国国内所有八种不同的语言,每天勤奋工作十二个小时,却仍然没法挽回这个江河日下的帝国。老了老了,他已经八十多岁,现在接班人又被暗杀,白发人送黑发人,他也没有任何办法。全国上下一片喊打之声,特别是外务大臣一个劲地撺掇,终于老皇帝同意了开战。奥匈帝国绑在了德国的战车上,走上分崩离析的不归路。
7月28日,第一次世界大战正式开打。
爱因斯坦他们怎么能预料到战争就要爆发呢?好几位天文学家正忙着要去世界各地观察日全食,他们选了好几个观测地点。一伙人去了美国加州,一伙人去了南美,还有一伙人去了俄国。巧不巧,去了俄国的那批人刚到,几个国家就相互宣战了。俄国人一看这帮家伙带着长枪短炮,扛了一大堆仪器,还带着照相底片,再看一个个都显得贼眉鼠眼,说不定是敌方的特务,先关起来再说!于是去俄国的那一支远征队就被关了起来。另外两支远征队也跟着走了霉运,南美那边儿天气不好,老天爷不给面子,日食当口,天空飘来几团乌云。只剩下美国加州那边的或许还有一线希望。结果老天爷依旧不肯配合,紧要关头,一片云彩偏偏把太阳遮了起来,日食一结束,立马云消雾散,晴空万里。看来大自然始终不愿透露自己的秘密,三番五次为难人类。
1914年7月,爱因斯坦正式成为普鲁士科学院的院士,他就在化学家哈伯的对门设了一个办公室。米涅娃因为感情不和跟他分居,带着孩子一直住在瑞士,并没有搬来柏林。缺了女主人的照料,窝里一片狼藉。学生到他家拜访,发现他正穿着一只袜子在找论文。对爱因斯坦来讲,日食观测的事只好先放一边了,因为下一次日食要到1919年才会出现。
当然爱因斯坦已经是社会名流,社会活动很多。现在又是多事之秋,整个欧洲都打起来了,想要放下一张平静的书桌也很难,学术界也没办法独善其身。《告文明世界书》纯粹是为德国发动战争而辩护,普朗克签了名,能斯特也签了,能斯特和哈伯还因为当上了国防部的顾问而穿上了少校军服。有人也想鼓动爱因斯坦签名,普朗克给挡了驾,因为普朗克很了解爱因斯坦,他绝不会签的。爱因斯坦和哲学教授尼古拉·别尔嘉耶夫联合起草了《告欧洲人书》,他从小就反对战争,《告欧洲人书》就是针对许多德国社会名流签署的《告文明世界书》的。可惜签署的人寥寥无几,报纸也不敢发表,在社会上的影响微乎其微。爱因斯坦也只有一头扎进场方程的计算里,才能摆脱这恼人的时局。

图10-2 进动曲线示意
中间的黄色圆点代表太阳,虚线代表行星应该走的椭圆轨道。黑线为进动走出来的“花瓣”曲线。真实的水星轨道没这么夸张。
爱因斯坦把目标对准了另外一个让天文学家们百思不得其解的现象,那就是水星进动问题。我们在本书第一章就讲述了人们是如何在勒维耶光荣事迹的感召下,疯狂寻找“火神星”的,就是因为水星的轨道并非是标准的椭圆,而是一个类似花瓣的曲线(图10-2)。近日点会不断发生移动,扣除了金星和地球的影响,还残存43角秒/100年的误差消除不掉。这43秒的误差非常微小,而且变化是平摊在100年里的,可见科学家们是多么认真细致。物理学的很多重大成就,就是在小数点后面n位死磕出来的。按照当年天文学家们的设想,应该是一颗未知天体对水星造成了影响,大家找来找去就是找不到一丝一毫线索。爱因斯坦认为,不需要一颗未知行星来解释水星进动,正因为大质量天体的周围空间是弯曲的,才造成了额外的水星进动现象。其实太阳系的行星都应该有进动,但只有水星比较明显,其他天体离太阳太远了,进动太小难以察觉。
爱因斯坦在计算水星进动的过程中走了很多弯路,他算来算去,都与观测数据不相符。在一次讲座上,他详细讲述了自己的广义相对论思想。说者无心,听者有意,底下听众中有一位差点玩了个“截胡”,抢了爱因斯坦广义相对论的功劳,此人就是哥廷根大学的一代数学宗师希尔伯特。希尔伯特比爱因斯坦年长十七岁,早在1912年,两人就有过书信来往。后来,希尔伯特邀请爱因斯坦来哥廷根讲学,第一次爱因斯坦婉拒了,希尔伯特又一而再,再而三地邀请,爱因斯坦不好驳他面子,就来到了哥廷根。他前后共做了六次物理学讲座,一次两小时,并与希尔伯特和克莱因聊得很High,大家都非常开心。
高斯是哥廷根开宗立派的祖师爷,黎曼、狄利克雷和雅可比继承了高斯的工作,在代数、几何、数论和分析领域做出了贡献,克莱因和希尔伯特则使哥廷根数学学派进入了全盛时期,有关希尔伯特的数学名词就不下一打。希尔伯特对物理学研究也有很深厚的功底,正是爱因斯坦的报告激起了他对引力问题的兴趣,也开始研究广义相对论的推导工作。希尔伯特的数学功底无与伦比,爱因斯坦一不留神,就给自己制造了一个竞争者。
大概在1915年10月,爱因斯坦才知道希尔伯特也在搞类似的工作,当时急得一脑袋汗,然后他就开始不眠不休地冲刺,时不时还要处理他那一团乱麻的家务事。他与希尔伯特有不少通信,特别是在冲刺阶段的11月份,因此这也给后人判别广义相对论到底是谁搞定的造成了很多麻烦。现在一般认为11月15号是爱因斯坦拿出最终结果的时间。爱因斯坦终于搞定了水星进动的计算,计算结果跟天文观测完全相符,而希尔伯特最后拿出计算结果要比爱因斯坦早了那么几天。
11月18号,爱因斯坦收到希尔伯特的信,发现希尔伯特的东西跟他的几乎完全一致。要知道,爱因斯坦折腾广义相对论已经足足八年了,广义相对论简直比他亲儿子还亲呢!现在有人要抢走成果,爱因斯坦“护犊子”心态显露无遗。他立马回信给希尔伯特,强调是自己首先搞定的,希尔伯特很大度,他恭喜爱因斯坦计算出了水星进动,表明了自己并不想抢功劳,而且还说:“如果我能像您那样计算迅速,那么电子将会在我的方程中缴械投降,氢原子也将会为其不能辐射的原因表示抱歉……”
后来科学史界还在不断发掘史料,看看到底是谁最后搞定的。希尔伯特的文章居然少了半截,那页纸的头部三分之一居然失踪了,天知道里面写了啥东西,这足以引起科学史专家们好一顿口水仗了。喜欢了解详细过程,而且自认为高数学得不错的话,可以去网上自己搜索自行判断,建议看卢昌海先生的博文或者书籍,里面有详细的介绍。我这里还要提醒一下,还有第三个人不能忘记,那就是格罗斯曼,他可是爱因斯坦一辈子的贵人啊!爱因斯坦后来讲广义相对论的时候,不怎么提到他,这是不合适的。当然,大家也可以看得出爱因斯坦“护犊子”的心态有多强烈,我这里还是赞同希尔伯特的态度,广义相对论还是要归功于爱因斯坦,而不是数学家。希尔伯特的成就太多,他没必要跟爱因斯坦计较。希尔伯特也没有在《告文明世界书》上签字,这一点上他与爱因斯坦是一个战壕里的战友。
我们好好端详一下爱因斯坦的场方程,这是个简洁优美的式子。
● Gμν称为“爱因斯坦张量”。
● Rμν从黎曼张量缩并而成的里奇张量。
● gμν(3+1)维的时空度量张量。
● Tμν能量-动量-应力张量。
● G引力常数。
● c真空光速。
公式的一边表示时空的形状,另一边表示物质和能量。引用后来物理学家惠勒的话来描述:时空告诉物质如何运动,物质告诉时空如何弯曲。看起来公式也不复杂,其实这只是个假象。“Gμν”(μν念作“miu niu”)这种“双下标”写法是爱因斯坦的一大发明,展开了是一大堆啰唆的方程组,被爱因斯坦简写成了双下标模式。对此,爱因斯坦还十分得意,自己也可以发明数学符号了。真要把这些式子全都摊开写,谁看着都头晕。这还只是看上去复杂而已,更麻烦的是:这个方程是个二阶偏微分方程,是非线性的。物理学家看见非线性的方程式,就像脑袋被打了一闷棍一样,眼前一连串眼冒金星。这东西根本没有一般性的通用解法,只有某些特殊情况,比较容易解出来。现在大家津津乐道的宇宙中的奇葩天体黑洞,就是这个方程式的特殊解。可见爱因斯坦的场方程,在当时没几个人可以搞懂。同样大量接触二阶偏微分方程的领域是气动流体领域,即便是大型计算机普及的年代,计算流体也不是一件轻松的事。好在气动流体有个相对论所不具备的优势,那就是可以用风洞吹风做实验,爱因斯坦的场方程可就没那么容易了,你怎么做实验呢?没有足够大的质量,空间的弯曲也就微乎其微,难以测量,只能靠天文观测来验证,无意之中宇宙本身也成了观察与实验的对象。
现在,爱因斯坦之所以获得大家的喝彩,是因为他神奇地计算出了水星进动。大家恍然大悟,原来不需要额外的行星来摄动水星,就可以解释水星的额外进动。除此之外呢?爱因斯坦拿不出证据来证明他是对的,计算水星进动是在答案已知的情况下去找原因,人家完全可以说是凑数凑出来的,相对论还没有表现出它的预言性,星光弯曲倒是有充分的预言性,所以爱因斯坦只能眼巴巴等待着有人能在1919年趁着日食去测量星光的偏移。
实验暂时做不成,理论大家又都搞不懂,广义相对论陷入了尴尬境地。一批物理学家正在领会爱因斯坦的文件精神,要想搞懂,恐怕大批人要去补课微分几何与张量分析了。更多的科学家可能根本没时间去研究这种深奥、古怪、一时半会用不上的物理学理论。
第一次世界大战是欧洲国家普遍进入工业化时代的第一次大战,科学技术可以是生产力,也可以是破坏力。大家发现这场战争中高科技的成分十分明显。科学无国界,可是科学家有国籍,大量科学家都积极投身于军事科技的开发。比如能斯特也决心为皇帝陛下效忠,无奈年老体衰,眼睛近视,没让他上阵。不过他的儿子上了战场,为德国而战,他学生林德曼也在英国为皇家空军服务。而法国的朗之万在研究怎么对付潜艇,大西洋里最厉害的潜艇,就是德国人的U-Boat。
最狂热的人当属爱因斯坦办公室对门的哈伯,这个哈伯是个化学家。他当年发明了人工合成氮肥的方法,因此才有了现代化的化肥工业。要知道炸药多半也是氮化合物,合成氨技术与军事有着密不可分的联系。英国人以为控制了智利的硝石(硝酸钾KNO3)出口,就能憋死德国的炸药生产,在哈伯看来是痴心妄想。大气里面有的是氮,根本不用大老远进口硝石。也正是他的科学成就,使得德国可以在战前积攒大批军火,没有这项技术,德国根本不敢发动世界大战。
哈伯对战事非常关心,看到大批德国士兵在战场上痛苦地死去,他决定研究大规模杀伤性武器。在他的技术支持下,大批氯气被送上战场(图10-3),前线飘荡着黄绿色烟雾,所过之处非死即伤,化学武器这只恶魔被哈伯放了出来。哈伯的妻子也是一位化学家,她竭尽全力阻止哈伯参与化学武器的研制,但哈伯充耳不闻,直到妻子举枪自杀,以死相谏,他才有所警醒。但为时已晚,悲剧已经铸成,上百万人倒在化学武器的烟雾下,其中有9.1万人死亡。

图10-3 哈伯指导使用毒气弹,指指点点的那个人就是哈伯
德国拥有化学武器,对方也不甘落后,双方大打毒气战。欧洲以往都流行大胡子或者八字胡,战时流行嘴唇上方一小撮的板刷胡子,也叫“卫生胡”。展开毒气战的时候,大家发现,大胡子和八字胡漏气,防毒面具戴不紧,一夕之间,士兵们的大胡子全都剃了。要么剃光,要么只留下嘴唇上一小撮板刷胡子,这种“卫生胡”后来风靡了整个二十世纪的二十到三十年代。当然啦,最后“卫生胡”成了某人特有的形象标记,此人一战时期正在战壕里面当传令兵,因为英勇无畏而获得了一枚铁十字勋章。后来又被毒气熏晕了过去,一般来讲不是眼睛瞎掉就是变成“脑残”,幸运的是他没落下除歇斯底里以外的任何后遗症,他总觉得这是“天将降大任于斯人也,必先苦其筋骨,饿其体肤,空乏其身……”从此,他的人生拐了一个弯。对了,他的名字叫阿道夫·希特勒。
爱因斯坦在德国这边反战,英国那边照样也有人反对战争,这个人就是爱丁顿,著名的天文学家、物理学家。爱丁顿拒绝服兵役,老子就是不去,你能拿我怎么办?好在同事们找了各种理由替他遮掩,倒也没摊上麻烦。英国当局不好勉强,前面已经有一位青年才俊莫塞莱死在了战场上,你总不能把这么多优秀的科学家当炮灰都填进绞肉机。不过爱丁顿也从此变成英国政府的重点监控对象。爱丁顿倒是跟爱因斯坦惺惺相惜,他俩没见过面,但是已经有过通信联系。战争时期通信不容易,要通过第三方周转。后来爱因斯坦名声大噪,成为物理学宗师,还要拜他大力协助之功。
一战期间,诺贝尔奖的颁发已经停止,谁也没有那个闲情逸致。普鲁士科学院一开会,大家都长吁短叹,谈不了几句就要扯到“你儿子在哪个部队”,“下雨天坑道积水排不出去”,“我家孩子在战壕里泡着”之类的话题,倒是爱因斯坦还沉醉于学术研究。
爱因斯坦没想到,有一位炮兵上尉在俄国前线简陋的条件下已经开始默默地解算场方程了。当然,爱因斯坦的方程式要想计算,就必须给出一堆前提条件,比如球形的、对称的,这样可以简化计算。爱因斯坦没想到这么快就有人折腾出结果,他接到此人的信,不由眼前一亮,这位炮兵上尉可是天才啊!十六岁就计算过三体问题(又是这个三体问题,天才们都拿这个问题来试刀:拉普拉斯、拉格朗日、庞加莱……都在年少的时候就计算过三体问题,难道这个问题是少年天才的试金石)。后来他当了哥廷根大学天文台的台长、波茨坦天体物理台的台长,而且还是科学院的院士。院士上前线?德国恐怕真是暴殄天物!他的名字叫史瓦西,史瓦西看到爱因斯坦发表的场方程以后,在1915年,计算出了一个球对称引力场中的解,这个解被称为“史瓦西解”。这个“史瓦西解”成了他最后的科学成就,爱因斯坦帮他投寄了论文。此时此刻,史瓦西正蹲在俄国前线计算弹道呢。
史瓦西计算的是一个非常简单的情况,那就是,在真空中,一个静态的、球对称的引力场是如何分布的。比如真空中只有一个太阳,其他地方空无一物,离开太阳一段距离的地方引力如何分布。太阳不会忽大忽小地变化,假定太阳也不旋转,是个纯粹静态的天体。假如质量缩减为0,那么这个时空就退化成平直的闵可夫斯基时空,在离开太阳无限远处,时空也是平直的。史瓦西在计算的时候就发现了一个问题,在计算出来的史瓦西解里面,球体的正中心,曲率会是无限大。物理学家们看见这个横躺的符号“∞”脑仁都疼,有个专用的词叫“发散”,不论你怎么变换坐标系,这个发散点都去除不掉,在这个点上,时空完全玩坏了!这好像不好理解,我只能举个通俗的例子来帮助大家理解:比如在地球的南北极点上,因为经线全都交会在一起,那么南北极点属于哪个时区呢?这就没法算了,因此南北极点就是个计算不出时区的点。但是呢,南北极点跟地球上其他的点相比,并不特殊,人站在那里也没啥异样,钟表也照样在走动,计算不出时区那是因为经纬线这种坐标划分方式本身不完美而导致的,换个坐标划分方式,南北极点也就不特殊了。史瓦西解里面就有这么个发散点,这个点不论你怎么变着法子变换坐标系,也搞不掉,你换用任何坐标系,在这个点上都能鼓捣出恼人的发散,这个点就称为奇点。这种不论怎么折腾都消不掉的奇点叫做“内禀奇点”,太奇怪了。
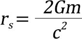
过了一个月,史瓦西又给爱因斯坦来信了,他又计算出来一个惊人的结果:一个天体,假如密度够大,半径够小的话,当半径小于某个数值时,发出去的光居然都跑不出去,这个星星居然是个暗星,完全看不到。史瓦西的名字从此跟这一类奇异的天体联系在了一起,我们在本书一开端讲到的那个被拉普拉斯从《天体力学》中删除的“暗星”又高调地回来了!这也是爱因斯坦的广义相对论产下的第一个蛋。暗星里面发生了啥,打死也别想知道了,人毕竟是靠光来看见里面的景象,因此这个半径也叫“史瓦西半径”。半径等于史瓦西半径的那个球面,会形成一个边界,这个边界被称为视界面。史瓦西半径公式如下:
● rs代表史瓦西半径;
● G代表万有引力常数,即6.67×10-11Nm2/kg2;
● m代表天体质量;
● c光速;
假如太阳被压缩成一个半径3千米的球,就会发生这种事情,光完全逃不出来。地球压缩成2厘米大小的球,也会发生这样的事。史瓦西解是第一个场方程的严格解,虽然拉普拉斯当年计算的结果与史瓦西半径一模一样,背后的原理却大相径庭。一个是基于牛顿的光微粒说和万有引力公式,另一个是基于爱因斯坦场方程空间弯曲,计算结果相同只是个巧合。并非拉普拉斯有先见之明,这种巧合在科学史上也并不罕见。
史瓦西很快就回到了德国,倒不是他胜利凯旋,而是被人抬回来的,他得了一种罕见的皮肤病——天疱疮。史瓦西在医院躺了两个月,于1916年5月不幸去世。爱因斯坦和大家一起怀着沉痛的心情哀悼了史瓦西。史瓦西本人并没有看到他这篇论文发表,这未免是一种遗憾,爱因斯坦帮助他完成了遗愿,将它发表在了《普鲁士科学院会刊》上。
爱因斯坦自己也在计算场方程的解,场方程用来参与描述宇宙再合适不过。不过这个场方程有好多个非常奇葩的解,我们刚刚讲述了一个史瓦西解,爱因斯坦自己也解出来了一个非常奇怪的解,一念之差,他就犯了一个一生中最大的错误……