我的位置:名著阅读 > 微积分的历程:从牛顿到勒贝格 > 第5章 第一次波折

第5章 第一次波折

莱昂哈德·欧拉于1783年辞世,这一年距莱布尼茨发表第一篇微积分论文一百周年仅差一年。无论按什么标准衡量,这一百年都是数学史上非同寻常的一个世纪。到目前为止我们考察的结果虽然只是这个世纪获得的丰硕成果中的一小部分,却说明已经有了巨大进展。牛顿、莱布尼茨、伯努利兄弟和欧拉致力于无穷量研究,发现了大量正确的而且时常是惊人的结果,同时确立了微积分作为数学中的典范学科分支的地位。让我们不由得对这些开拓者们肃然起敬。

头一个世纪的一个重要的发展趋势是人们把视点从几何转向分析。当问题变得越来越棘手时,它们的解对曲线几何性质的依赖越来越少,而对函数代数运算的依赖却越来越多。莱布尼茨在1673年证明他的变换定理所用的复杂的几何图解在18世纪中期欧拉的著作中已经无影无踪了。从这个意义上说,分析学已经具备了更现代的形态。

但是这门学科的其他常见内容却销声匿迹了。例如,很大的一个缺失是现代分析学的支柱——不等式。17世纪和18世纪的数学家们主要处理等式。他们的工作倾向于利用巧妙的代换将一个公式变换成另一种想要的形式。虽然雅各布·伯努利对调和级数发散性的证明(见第3章)是以熟练地运用不等式为特征,但是这样的例子总体上是罕见的。

同样稀少的是对广泛函数类的分析。欧拉和他的前辈们擅长研究特定的积分或级数,但是他们对连续函数或可微函数这样的函数类的一般特性缺乏兴趣。把关注的焦点从特殊的函数转移到一般的函数将成为下一个世纪的标志。

早期微积分和当今微积分的另外一个显著差异是对逻辑基础的关注不同。正如我们所见,那个时期的数学家在使用结果时既不证明它们的正确性,在许多情况下,甚至也不考虑这个问题。一个例子是用积分的无穷级数代替无穷级数的积分的这种趋势,也就是说,把看成是相等的。这里的两种运算(对函数积分和对级数求和)都包含无限的步骤,这种不加区别的交换可能会导致错误结果。只有在满足某些条件时这种交换才是可行的。在这方面,微积分的先驱们多半依靠直觉而不是根据推理进行运算。不可否认,他们的直觉通常是非常可靠的。特别是欧拉,他具有一种神奇的能力,在他陷入数学的深渊之前就准确知道自己可以走多远。

然而,微积分的基础依旧是令人怀疑的。作为一个例证,我们不妨回忆一下无穷小量所扮演的角色。为了解释这些称为无穷小的量,从莱布尼茨到欧拉,他们都作过尝试,但是从来没有给出令人满意的证明。像一条数学变色龙,无穷小看起来不可避免地同时既是零又不是零。从根本上说,它们的存在似乎是自相矛盾和违背直觉的。

数学家们将他们的结论建立在“逐渐消失的”量上不是什么好事。牛顿是这种动态方法的倡导者,对于醉心于运动研究的他来说,这或许是一种合理的主张。在引入我们现在所谓的导数的时候,他考察了逐渐消失的量的商,并且写道,他所指的这些逐渐消失的量的“最终比”,“既不是在它们消失之前的比,也不是在消失之后的比,而是正当这些量消失时的比”。1 除了想象一个量在消失(无论含义是什么)之后的概念以外,牛顿还要求他的读者想象当分子和分母噗的一声同时消失在稀薄空气中时的比。他的描述看起来给予非难者以可乘之机。

1 Dirk Struik(ed.), A Source Book in Mathematics, 1200-1800, Harvard University Press, 1969, p.300。

批评很快来临,而批评者是乔治·伯克莱(1685—1753)——英国著名的哲学家和克罗因教区的主教。伯克莱在他1734年所写的《分析学家》一文中,嘲笑那些遣责他依靠宗教信仰而不是理性行事的科学家们自己也在谈论着无穷小的量或逐渐消失的量。对伯克莱来说,这是最模糊的思想和最虚伪的行为。这一点隐含在文章长长的副标题中:

——致一位不信教的数学家的评论,其中剖析现代分析学的目标、原理和结论是否比宗教的神秘和教义有更清晰的构思或更缜密的推理。2

2 George Berkeley, The Works of George Berkeley, vol. 4, Neison & Sons, London, 1951, p. 53。

伯克莱的评论非常刻薄。对于这位主教来说,无论微积分是建立在牛顿的逐渐消失的量的概念上还是建立在莱布尼茨的无穷小的概念上,都没有多大差别。他得出结论:“越是用心分析和追寻这些虚无飘渺的思想,越发陷入糊涂与迷茫的深渊。”3 伯克莱以拷问牛顿的口吻,提出了当时闻名遐尔的质疑:

这些流数到底是什么?逐渐消失的增量的速度有多么大?这些相同的逐渐消失的增量是什么?它们既不是有限的量,也不是无穷小的量,更不是零。难道我们不能把它们称为消逝的量的鬼魂吗?4

3 George Berkeley, The Works of George Berkeley, vol. 4, Neison & Sons, London, 1951, p. 67。

4 George Berkeley, The Works of George Berkeley, vol. 4, Neison & Sons, London, 1951, p. 89。

伯克莱对莱布尼茨的无穷小量的概念也毫不客气。他嘲讽道,承认一个无穷小量的概念超出了“我的能力”,接受像这样的无穷小量的无穷小部分“对任何人而言都是无限困难的”。5

5 George Berkeley, The Works of George Berkeley, vol. 4, Neison & Sons, London, 1951, p. 68。

伯克莱并没有对数学家们从这些可疑的方法推出的结论提出质疑,他拒绝的是这些结论背后的逻辑。事实上,微积分是求切线和确定极大值或极小值的极好工具。但是,他争辩说,它的正确答案来自错误的思想,正如在某种错误补偿中某些错误抵消其他错误,从而掩盖其中隐藏的漏洞。他写道:“错误也许能产生真理,但是决不会产生科学。”6

6 George Berkeley, The Works of George Berkeley, vol. 4, Neison & Sons, London, 1951, p. 77。

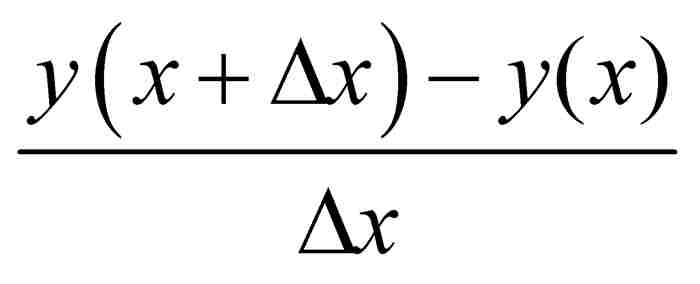
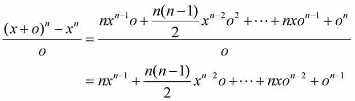
我们借助伯克莱的例子来说明他的观点,使用现代符号表示就是,当时,求。按照当时的方式,他先对 x 增加一个微小的非零增量o,然后求微商

到这一步为止,o依然被假设为一个非零的量,伯克莱强调:“如果没有这个条件,我就不能在下一步推出任何结果。”但是,随后o忽然变成了零,所以

伯克莱不赞成的是第二个假设与第一个假设完全冲突,因此他否定由此推出的任何结论。毕竟,如果o是零,我们不仅不能把它作为分母,而且必须承认x根本就没有增加。所有的论据立刻土崩瓦解。伯克莱写道:“当提到让增量消失时,前面那个增量为某种量的假设就被破坏了,然而,由这个假设所推出的结果,即由它获得的表达式却保留了下来。”7

7 George Berkeley, The Works of George Berkeley, vol. 4, Neison & Sons, London, 1951, p. 72。

对这位主教来说,这种推理方法是完全不能接受的,并且是“一种极端自相矛盾的讨论方式,而这种方式在上帝那里是不允许的”。8 在《分析学家》最具火药味的一段话中,伯克莱对比了他所说的微积分的错误逻辑与人类知识要求的高标准,“我相信在人类所有知识门类的任何一种知识中,人们都不会承认像在数学证明中所接受的这种推理”。9

8 George Berkeley, The Works of George Berkeley, vol. 4, Neison & Sons, London, 1951, p. 73。

9 George Berkeley, The Works of George Berkeley, vol. 4, Neison & Sons, London, 1951, p. 74。

伯克莱主教充分阐明了他的观点。即使微积分的结果似乎是正确的,并且当应用于像力学或光学中的实际现象时,得到的解答也和观测结果一致,但是,如果基础不牢的话,这种结果依然一钱不值。

必须做些事情了!在其后的数十年中,很多数学家试图加固微积分摇摇欲坠的基础结构。让·勒朗·达朗贝尔(1717—1783)就是其中的一员。他是一位备受尊敬的学者,与德尼·狄德罗(1713—1784)一起在法国编纂《百科全书》。对于微积分的基础,达朗贝尔同意无穷小量或者逐渐消失的量是没有意义的。他毫不含糊地宣称:“一个量或者是有,或者是没有。如果是有,它就还没有消失;如果是没有,它就确实消失了。假设存在介于这两者之间的中间状态,就只能是一头由狮头羊身和蛇尾构成的吐火怪物。” 10

10 Carl Boyer, The Concepts of the Calculus, Hafner, 1949, p. 248。

相反,达朗贝尔提出了建立在“极限”概念基础之上的微积分。在处理导数时,他把看成是有限项的商的极限。他将这个商表示为,而我们现在认为是。那么,是“在我们假定zu为实数并且不断减小时,比值越来越接近的量。没有比这更清楚的定义了”。11

11 Dirk Struik(ed.), A Source Book in Mathematics, 1200-1800, Harvard University Press, 1969, p. 344。

达朗贝尔取得了某些进展。他没有使用无限小,也没有使用逐渐消失的量,并且由于突出极限作为修补微积分薄弱基础的方法而理应受到称赞。

但是断言达朗贝尔扭转了乾坤,那是言过其实的。虽然他可能已经察觉到正确的路径,但是他没有在这条路径上走得很远。缺少的是“极限”的明确定义,以及没有从极限出发推导微积分的一些基本定理。最终,达朗贝尔不过是提出了走出困境的方法而已。这些思想的完全确立尚需等待一代人或者更长的时间。

与此同时,一位更卓越的数学家卷入了这个难题,并且提出一种完全不同的解答。他就是约瑟夫·路易·拉格朗日(1736—1813)——18世纪晚期在欧洲数学界有着重大影响的一位杰出数学家。对于这个基础性的问题,拉格朗日发誓要提供一个逻辑上完备的构架,使得微积分的宏伟大厦可以建立它的基础上。在他1797年所写的《解析函数论》一书中,他设想了一种“排除无穷小量、逐渐消失的量、极限以及流数所有因素在内”的微积分。12 鉴于以往的任何合理性都不具备优势,拉格朗日宣誓要重新开始。

12 Joseph-Louis Lagrange, Oeuvres, vol. 9, Paris, 1813, p. 11(扉页)。

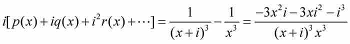
他的基本思想是把无穷级数作为微分的源头而不是结果。这就是说,拉格朗从他要寻找导数的函数f (x)开始,把 f (x+i)表示成 i 的无穷级数

(1)

的形式,其中,正如他指出的那样,“p,q,r,… 将是从简单函数x导出的并且与i无关的新函数”。13 于是,f 的(一阶)导数恰好就是,在这个展开式中,i的系数。

13 Joseph-Louis Lagrange, Oeuvres, vol. 9, Paris, 1813, pp. 21-22。

任何熟悉泰勒级数的人都会明白拉格朗日得到了什么,但是对他而言重要的是注意这个级数出现在先,而导数是作为它的一个结果,在现代分析学中导数出现在级数之前。

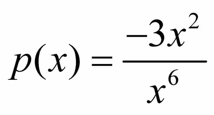
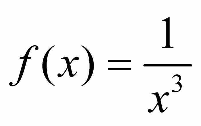
用一个例子可以说明这一点。假定我们想求的导数。(顺便指出,“”这个记号来源于拉格朗日。)展开式(1)所示的函数,得到,所以

因此

 (2)

至此,拉格朗日在式(2)中令,得到。因此,。对牛顿或莱布尼茨来说,这个结果自然是不足为奇的。

对拉格朗日而言,这个推导过程避免了无穷小量,同时也避免了那些湮灭不见的消逝的量的鬼魂。同样,他无需用达朗贝尔的没有确切定义的极限。当拉格朗日令时,他的意思是严格的。在式(2)中不会遇到任何陷阱,因为在任何分母中都没有出现零。他认为这是解决导数问题的纯粹的分析方法,不需要任何曾经困扰他的先驱们的逻辑转换。这个方法竟然如此精致,如此整齐。

然而,果真是这样吗?举一个事例,可以说明用这种方式定义导数过于曲折。尽管牛顿和莱布尼茨的思想夹杂着曲线和三角形,并且建立在不牢固的基础之上,但是他们对研究对象的定义是直接的。在拉格朗日的思想中没有任何的图解,却把导数同切线斜率有关的事实完全掩盖了。

这还只是次要的毛病。更大的麻烦是在对待比上述函数更为复杂的函数如何求导数的问题上。在我们的例子中,问题的关键是展开并且简化,以便从结果中分解出因子i。但是每个函数的可以展开和简化的保证在哪里?这样构造的级数是收敛的保证在哪里?而这样构造的一个收敛级数收敛到我们原始的函数的保证又在哪里?这些才是深层次的和重要的问题。

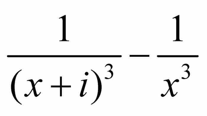
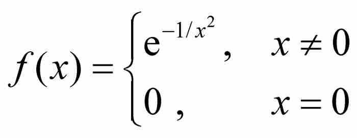
最终,拉格朗日的理论经不起如此严格的推敲。1822年,法国数学家奥古斯丁·路易·柯西发表了一个例子,证实拉格朗日的思想存在致命缺陷。我们在下一章的主角柯西证明了函数

及其在x=0的各阶导数为零。14 因此,作为原来函数的幂级数,。这反过来说明,如果我们从函数 f 开始,将它写成级数的形式,我们得到一个完全不同于开初的函数!作为一个级数,我们无法区分上面的函数 f 和常值函数。柯西的两个不同的函数有一个共同幂级数的例子,说明分析学完全不能按照拉格朗日的设想来创建。

14 Augustin-Louis Cauchy, Oeuvres, ser. 2, vol. 2, Paris, pp. 276-278。

总之,基于级数的导数定义以及随之而来的基于级数的微积分的基础被抛弃了。虽然拉格朗日未能完成他的主要使命,但却作出了许多贡献,引导了新世纪的发展。首先,他将基础问题提升到更突出的位置,使之成为既有趣又重要的问题。其次,他试图从他的基本定义推导出微积分的种种定理,在这个过程中引入了不等式,并且对不等式的应用展现出熟练的技巧。最后,正如Judith Grabiner在她的《柯西的严密微积分的起源》一书中所说:

阅读拉格朗日的著作,人们总是会被他对普遍性的感悟所打动……,他对普遍性的极端钟情在那个年代是非同寻常的,与许多他同时代人专注于解决特定问题形成鲜明对比。他提出的微积分的代数基础与其普遍化的思想倾向是一致的。15

15 Judith Grabiner, The Origins of Cauchy\'s Rigorous Calculus, MIT Press, 1981, p. 30。

尽管数学家们作出了这么多贡献,在18世纪结束时,微积分的逻辑危机依然没有解决。达朗贝尔和拉格朗日以及其他致力于处理这些问题的数学家的工作没能平息批评的浪潮。伯克莱主教说过这么一句话:“我要指出在其他每一种科学中,人们总是用他们的原理来证明结论,而不是用他们的结论来证明原理。”直到进入19世纪,他的话听起来还一直带有真实性的意味。16

16 George Berkeley, The Works of George Berkeley, vol. 4, Neison & Sons, London, 1951, p. 76。

但是一种解决方案近在咫尺了。在19世纪初期,正是认识到级数非唯一性的柯西,行将发现一个可以圆满解释微积分基础的方法。到他完成这个任务的时候,分析学就超越了他的前辈们所能设想的情景,成为远具普遍性、抽象性和充满不等式的学科。同时,这门学科将会越发严密。

现在我们就转向这位杰出的人物,转向他所进行的革命性的工作。