亨利·勒贝格(1875—1941)
随着20世纪的到来,数学家们有理由为自己喝彩。微积分已经存在了两个多世纪。它的基础已经不容置疑,许多悬而未决的问题已经宣告解决。自从牛顿和莱布尼茨初创微积分以来,分析学走过了漫长的路程。
适逢其时,亨利·勒贝格卷入到这门学科中来。他在1902年对积分论进行了革命,并且进一步把这场革命推进到实分析,那时他还是巴黎大学的一名才华横溢的博士生。他以一篇博士论文实现了这一目标,那篇论文被描述成“以往所有数学家写就的最佳论文之一”。1
1 引自G. T. Q. Hoare and N. J. Lord, “‘Intégrale, longueur, aire'—the centenary of the Lebesgue integral”, The Mathematical Gazette, vol. 86 (2002), p. 3。
为了对勒贝格的成就获得一些感性认识,在考察勒贝格富有创造性的替代积分之前,我们快速复习一下黎曼积分。
回归黎曼积分
在前面几章已经着重指出黎曼积分中存在的某些“缺陷”。由于这个原因,数学家们曾经期待是正确的命题,需要附加某些假设方能成为真命题。例如,如果不给出看起来过份限制的假设,微积分基本定理以及极限与积分的交换定理都不复成立。
对于后一种情况,在第9章举出的反例中包含一个函数序列,函数项带有越来越高的尖峰值。在那种情况下,人们可能认为极限与积分不能交换的原因在于函数不是一致有界的。然而从下面的例子明显看出,这种缺陷隐藏得更深。
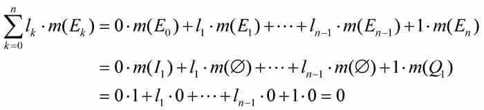
我们从区间[0, 1]中的有理数集开始,这个集合用Q1表示。集合的可数性使我们能够把它列举出来:Q1={r1, r2, r3, r4, …}。然后我们定义函数序列
其中
在前面k个有理数点都取值1,而在其余的点取值0,每个这样的函数是有界函数,满足
,同时每个函数在除有限个点以外等于0,所以是可积的,并且
。
但是,关于
会有什么结果?由于[0, 1]中的任何有理数位于列表中的某处地方,当
时
最终将取值1,并且保持这个值。此外,如果x为无理数,对于所有k有
。换句话说,
(1)
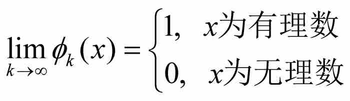
自然,我们得到的是狄利克雷函数,所以纵然每个
是可积的,它们的点态极限是不可积的。不言而喻,狄利克雷函数的不可积性表明,
。这意味着,在第9章的例子中,积分与极限的交换问题不能用函数的无界性来解释。
即使对这些问题作了考虑,仍然留下如何通过不连续性说明黎曼可积性的特征的问题。按照前面一章所用的函数不连续性点集的记号,数学家们期待着填写下列句子:
(2)
任何人都相信,这个句子中的空白将会用关于函数的不连续性点集Df的某种“小型性”的条件填入。显而易见,这个缺少的条件不会是“有限的”或“可数的”,也不会是“第1类集合”,它的特性是不确定的。无论是谁,如果凭借函数的连续性与黎曼可积性之间的联系,完成上述句子的填充,定然引起巨大轰动。
正是勒贝格解决了所有这些问题。他回归到长度和面积的概念,从全新的角度观察它们,并由此提出积分的一种替代定义。我们的故事就从我们现在所说的“勒贝格测度”开始。
零测度
在1904年的一本专著《积分与原函数的研究》中,勒贝格这样描述他的最初目标:“我希望首先对集合赋予数的属性,这种数类似于它们的长度。” 2 这本专著脱胎于它的学位论文。
1 Henri Lebesgue, Leçons sur l'intégration et la recherché des fonctions primitives, Gauthier-Villars, 1904, p. 36。
他从非常简单的情况开始。在四个区间[a, b],(a, b],[a, b)和(a, b)中,任何一个区间的长度均为b-a。如果一个集合是两个不相交集合的并集,也就是说,如果
,其中b<c,那么我们自然令A的长度为(b-a)+(d-c)。按同样的方式,我们可以给出任何有限个不相交区间的并集的长度。
但是,勒贝格已经注意到复杂得多的集合。例如,我们应该怎样把长度的概念扩充到像
这样的无限集合上?在第13章曾经证明,集合S是无处稠密的。或者换一种说法,我们如何度量包含在单位区间[0, 1]内的无理数集合的“长度”?
在勒贝格之前的数学家中有人曾经提出过这些问题。阿克舍尔·哈纳克(1851—1888)在19世纪80年代引进过集合的一种度量,我们现在称之为有界集的外容量。3 当给定这样的一个集合时,他先把它置于有限个区间的一个覆盖内,并且用这些区间的长度的和作为集合外容量的近似值。对于上述集合S,我们可以考虑覆盖
,它们的长度之和等于
。
2 Thomas Hawkins, Lebesgue's Theory of Integration, Chelsea, 1975, p. 63。
我们可以通过取一个不同的覆盖来改进这个估值。例如,假定我们用下面5个子区间的并集覆盖S:
虽然这样做显得有些奇怪,不过我们的策略是清楚的(参见图14-1)。最左边的区间(0, 0.2001)包含S中除1/4, 1/3, 1/2和1以外的所有点,而这4个点都用各自的小区间包围。对于这个覆盖,其区间的长度之和为0.2001+0.0002+0.0002+ 0.0002+0.0002=0.2009,比前面第一个覆盖的长度值0.9103小得多。
图 14-1
至此,哈纳克提出了一个大胆的想法:用有限个区间以所有可能的方式覆盖一个有界集合E,再求每个覆盖中各区间长度之和,并把外容量ce(E)定义为当最宽区间的长度趋近零时这种和的极限。
这个定义有许多可取之处。例如,一个有界区间的外容量就是它的长度——这恰好是人们所期望的。同样,单点集{a}的外容量必定为零,因为对于任何自然数k,我们可以用一个长度为
的区间
覆盖{a},当k不断增大时,这个长度缩小为零,所以ce({a})=0。这也是如人们所期望的。
哈纳克同样能求出像S那样的无限集的外容量。他用的是上面第二个覆盖中所显示的方法。对于任何
,我们注意区间(0,
)包含S中除有限个点以外的所有点,我们用
,
, …,
和1表示这有限个点。然后把这N个点置于一个长度为
的小区间内。例如,可以把
置于
内。这些区间共同覆盖S,而它们的长度之和为
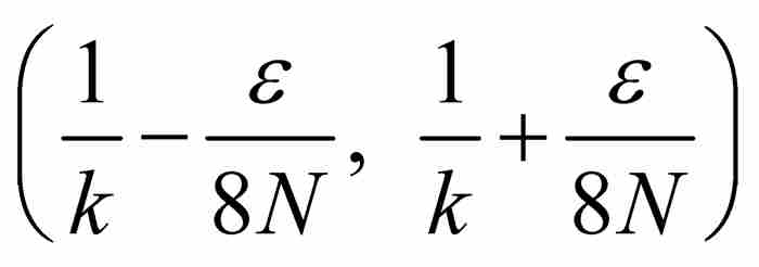
由于对每个
,S处于总长度小于ε的有限个区间内,所以我们断定ce(S)=0。这样就得到一个外容量为零的无限的无处稠密集。
但是,哈纳克要面对一种不同的情况,那就是区间[0, 1]内的有理数的集合Q1:一个无限的稠密集。他认识到,由有限个区间构成的Q1的任何覆盖必然覆盖整个[0, 1]区间。因此ce(Q1)=1。就是说,单位区间内的所有有理数的外容量同单位区间本身的外容量相等。
从某些方面看,这似乎是言之有理的,但从其他方面看,这是有问题的。因为如果我们令I1是[0, 1]内的无理数的集合,用完全相同的推理,同样证明ce(I1)=1。由于不相交的集合Q1和I1的并集是整个区间[0, 1],我们看出
显而易见,我们不能把一个集合分开成不相交的子集,而它们的外容量之和仍然为原来集合的外容量。这样的非可加性是哈纳克的容量理论不受欢迎的特性。
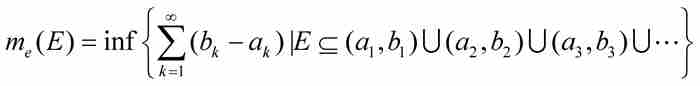
把长度的概念扩展到非区间集合的这种前景,足以引导其他人修改外容量这样的定义,以便消除伴随的问题。许多数学家投身这个讨论中,但是历史把最终解决这个问题的责任赋予勒贝格。如果一个集合“能够包含在有限个或可数无限个区间内,而这些区间的总长度可以小到我们希望的任意小的地步”,那么他把它定义为零测度的集合。3 因此,如果对于任意
,我们能够使集合E包含在区间
内,即
3 Henri Lebesgue, Leçons sur l'intégration et la recherché des fonctions primitives, Gauthier-Villars, 1904, p. 28。
其中
,那么E是零测度的集合,记为
。同哈纳克不一样,勒贝格在这里的创新在于允许用可数无限个区间覆盖集合,而这样做同哈纳克的做法有天壤之别。
从这个定义明显看出,一个零测度集合的任何子集必定为零测度集合。同样明显,一个外容量为零的集合也具有零测度。因此,单点集合和上面的集合S都是零测度的集合。但是当勒贝格证明下述定理后,证实相反的结论不成立——而且出其不意地不成立。
定理 如果一个集合
是可数个零测度集合的并集,那么E也是零测度集合。4
4 Henri Lebesgue, Leçons sur l'intégration et la recherché des fonctions primitives, Gauthier-Villars, 1904, p. 28。
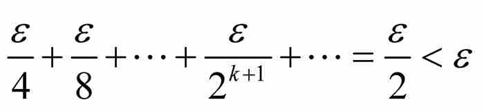
证明 令
是已知的。根据假设,我们可以把E1包容在总长度小于
的区间的可数集合族内,把E2包容在总长度小于
的区间的可数集合族内,及至一般情况下,把
包容在总长度小于
的区间的可数集合族内。于是给定的集合E是所有这些区间的并集的一个子集,而这个并集本身作为可数集合族的可数并集是总长度小于
的可数集合族。由于E包容在总长度小于任意小的数ε的区间的可数集合族内,可知???具有零测度。
由此推出,任何可数集的测度为零,因为这样一个集合可以表示成它的单个点集的(可数)并集。特别是,区间[0, 1]内的有理数的集合(前面标记为Q1的稠密集)具有零测度。由于m(Q1)=0,而ce(Q1)=1, 这说明外容度为零与测度为零在根本上是不同的。
为数不多的数学家在具有零测度的稠密集的现象面前可能退缩。毕竟,稠密集是普遍存在的,它会出现在无论多么小的区间内。哈纳克本人在20年之前就开始走上这条道路,但是他把零测度作为可笑的想法拒绝了。5 这样一种看似非常反常的景象使他相信要坚持采用有限区间的覆盖。
5 Thomas Hawkins, Lebesgue's Theory of Integration, Chelsea, 1975, p. 64。
但是勒贝格没有善罢甘休,而当他发现长期寻求的函数的可积性同其连续性点之间的关系时,他证明自己的方法是极有价值的。问题在于,“一个可积函数可能在何等程度上是不连续的?”下面的定理是对于这个问题的简单回答。
定理 一个有界函数f在区间[a, b]上为黎曼可积的充分必要条件,是它的不连续点的集合具有零测度。6
6 Henri Lebesgue, Leçons sur l'intégration et la recherché des fonctions primitives, Gauthier-Villars, 1904, pp. 28-29。
这就是说,勒贝格用条件
填充了句子(2)中的关键空白。在许多书籍中把这个定理称为“勒贝格定理”,说明在他最终证明的大量定理中,这个定理是特别重要的。
毫不奇怪,勒贝格的论证的核心在于黎曼可积条件,这个条件可以改写如下:函数f在区间[a, b]上是黎曼可积的,当且仅当对于任意
和任意
,我们可以把[a, b]划分成有限数目的子区间,其中f的振幅大于σ的点所在的那些子区间(我们称为A类子区间)的总长度小于ε。
我们注意到,到勒贝格时代,函数在一点的“振幅”的概念比黎曼时代有了更确切的含义。不过就我们的目的而言,依旧可以把它非正式地视为在那个点的邻域内函数的最大变差。此外,已经知道,一个函数在点x0是连续的充分必要条件是它在x0的振幅为零。
勒贝格引进G1(σ)作为在区间[a, b]中函数f的振幅大于或等于σ的那些点的集合,并且证明G1(σ)是一个闭有界集。由于Cf = {x| f在x的振幅为零},我们知道
(3)
等式(3)显然是成立的。另一方面,在任何不连续的点,振幅必定为正,因此对于某个自然数N,其值超过
。这意味着不连续的点属于G1
,因此属于等式(3)右端的并集。反过来说,这个并集中的任何点必定属于某个G1
,因此有一个正振幅使它成为一个不连续的点。
在这种背景下,我们来考察勒贝格的证明。
证明 首先假定有界函数f在区间[a, b]上是黎曼可积的。对于任何自然数k,可积性条件保证振幅大于
的点的集合可以包容在有限个区间内,这些区间的总长度小到我们希望的任意小。因此这个集合以及它的子集G1
的外容量为零,所以G1
具有零测度。根据前面的定理,并集
是零测度的集合,由式(3),这蕴含Df也是零测度的集合。这就完成必要条件的证明。
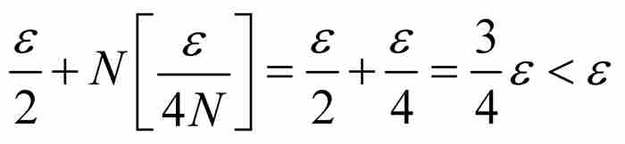
为了证明充分条件,假定m(Df)=0,并且令
和
。选择一个满足
的自然数k。于是函数f的振幅超过σ的点的集合是G1
的一个子集,它也是Df的一个子集。因此,G1
是零测度的集合,所以能够包容在总长度小于ε的(开)区间的可数集合族内。由于G1
是闭集和有界集,勒贝格可以应用著名的海涅—波雷尔定理推断,G1
位于这些开区间的一个有限子集合族内7。这个有限的子集合族的总长度显然小于ε,并且不仅覆盖G1
,而且覆盖更小的振幅超过σ的点的集合。总之,可积性条件是满足的,所以f是黎曼可积的。
7 实数的闭有界集的海涅—博雷尔定理是任何分析学教科书讨论的一个主题;例如参阅Frank Burk, Lebesgue Measure and Integration, Wiley, 1998, p. 65。它的历史是错综复杂的,但是我们注意到,在勒贝格的论文的104~105页包含一个精彩的证明,这是他的著名学位论文中的另外一个重点。其他资料请参阅Pierre Dugac, “Sur la correspondance de Borel et le théoreme de Dirichlet-Heine-Weierstrass-Borel-Schoenflies-Lebesgue,” Archives internationales d'histoire des sciences , 39 (122) (1989), pp. 69-100。
此后,勒贝格定义了函数的一种几乎处处具有的性质,这是指函数只在零测度集上不保持的性质。用这个术语,我们把勒贝格定理简洁地重述如下:一个有界函数f在区间[a, b]上是黎曼可积的,当且仅当它是几乎处处连续的。
这个特征非常有用,例如,我们可以用它立刻证明[0, 1]上的直尺函数R的可积性。正如我们曾经证实的那样,R在除测度为零的有理数集之外是连续的。这意味着直尺函数是几乎处处连续的,所以是黎曼可积的。
在数学分析中,勒贝格定理堪称一个经典。从所发生的事情来看,带有几分讽刺意味的事实是,彻底了解黎曼积分的人正是使它不久就变得陈旧的人:这就是勒贝格。
集合的测度
零测度概念的全部重要性在于仅对实直线上的某些集合是适用的。勒贝格在他的论文中继续对一个大得多的集合族定义了“测度”。基本思想是从他的同胞埃米尔·博雷尔(1871—1956)那里借用来的,但是勒贝格对它所做的改进是无法测度的(我们敢相信吗?)。
这个方法有一个我们熟悉的环节。对于一个集合
,勒贝格写道:
我们可以把它的点包容在有限的或者可数无限的区间内,这些区间的点集的测度是……它们的长度的之和,这个和是E的测度的一个上界。所有这种和的集合有一个下极限me(E),就是E的外测度。1
1 Henri Lebesgue, Leçons sur l'intégration et la recherché des fonctions primitives, Gauthier-Villars, 1904, p. 104。
用符号表示,这相当于
其中我们用到了所述集合的下确界或最大下界。此外,外测度同外容量之间的差别,在于勒贝格除了考虑有限的覆盖之外还考虑到可数无限的覆盖。他立刻注意到
,因为取更多的覆盖仅有可能降低它们的最大下界。
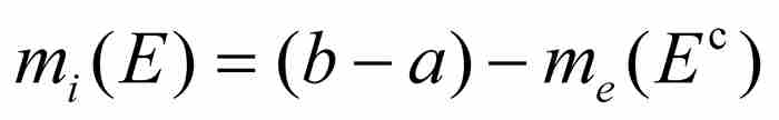
接着他考查了E在[a, b]内的补集,我们把它表示成
,
。用上述定义,他求出
的外测度,然后把E的内测度定义为
。
一种现代处理方法不用E的补集的外测度去确定它的内测度,而改用有限个或者可数无限个区间的并集从内部“填充”集合E,然后取它们的长度之和的最小上界或者上确界。就是说
对于有界集而言,这两种方法是等价的,但是第二种方法同样也适用于E为无界集的情形。
这时勒贝格证明了“内测度不会大于外测度”,就是说,
,并且接着提出关键性定义:“内测度和外测度相等的集合称为可测的,而它们的测度为
和
的共同值。” 2
2 Henri Lebesgue, Leçons sur l'intégration et la recherché des fonctions primitives, Gauthier-Villars, 1904, p. 106。
可测集是一个千真万确的庞大家族,它包括任何区间,任何开集和闭集,任何零测度集,以及有理数集和无理数集。事实上有过一段时间,数学家们未能找到一个不是可测的集合,即一个
<
的集合。这样一些集合最终是通过选择公理构造出来的,而其结果是极端复杂的。3
3 Frank Burk, Lebesque Measure and Integration, Wiley 1988, pp. 266-272。
勒贝格仔细研究了从他的定义得出的结果,其中最基本的三个结果如下。
如果E是可测的,那么
。
一个区间的测度是它的长度。
如果E1, E2, E3, …, Ek,…是有限的或者可数无限的两两不相交的可测集,并且如果
是它们的并集,那么E是可测的,同时
。
第三个结果是外容量所不具备的可加性性质。我们用它可以轻而易举地求出区间[0, 1]内无理数的集合的测度,这个集合就是上面所说的I1。我们注意到,
,其中右端的两个集合是不相交的和可测的。因此,
,所以m(I1)=1。就测度而言,无理数在[0, 1]中处于支配地位,而有理数是无足轻重的。
勒贝格测度尤其在“小型”集合(零测度)和“大型”集合(正测度)之间提供一种新的一分为二的方法。本书把这种方法同用基数的一分为二的方法(可数集与不可数集)和拓扑的一分为二的方法(第1类集合与第2类集合)相提并论,在所有这三种分法中,有理数的集合都被看作小型集合,因为它们是零测度的和可数的,是属于第1类的集合,而无理数的集合是大型集合,它们是正测度的和不可数的,是属于第2类的集合。
继续采用这种观点,我们看出在所有这三种一分二的方法中,“小型”集合的子集和可数并集仍旧是“小型”集合,并且我们证明了一个可数集既是第1类的集合,又是零测度的集合。但是,其他“大型”和“小型”集合之间的联系不复存在。有可能找到第1类集合,它们是非可数的和正测度的集合,同时找到零测度集合,它们是非可数的和属于第2类的集合。4 很明显,这些概念已经使数学家们陷入某种困境。
4 参阅Bernard Gelbaum and John Olmsted, Counterexamples in Analysis, Holden-Day, 1964, p. 99。
在勒贝格的博士论文中,他不满足于仅考虑可测集。他定义了如下的可测函数:一个有界的或非有界的函数f,如果对于任何
,集合
是可测的,我们就说它是可测函数。5 图14-2给出这个定义的几何意义。对于沿y轴的
,我们把定义域内函数值介于α和β之间的所有x点汇集起来,如果这个集合对于α和β的所有选择都是可测的,就说f是可测函数。
5 Henri Lebesgue, Leçons sur l'intégration et la recherché des fonctions primitives, Gauthier-Villars, 1904, p. 111。
图 14-2
利用可测集的性质,勒贝格证明了f是可测函数,当且仅当对于任何α,集合
是可测的。从这个结果很容易推出狄利克雷函数是可测的,因为对于集合
仅有三种可能性:如果
,它是空集;如果
,它是有理数集;如果
,它是全部实数的集合。在每种情形下,这些集合都是可测集,所以
是一个可测函数。
我们已经见过,狄利克雷函数既不是点态不连续的,也不是黎曼可积的。由于它的原始特性,被排除在这两个函数族之外。但是它是可测的。人们开始意识到,通过引进可测函数,勒贝格已经撒下了他的天网。
他沿着他的推理路线继续前进,证明对于一个可测函数f而言,集合
,
,
和
(4)
都是可测集。他还证明,两个可测函数的和与积是可测函数,这意味着我们不能凭借加法和乘法跳出可测函数的范围。“但是,”勒贝格写道,“还有下面的结果。”
定理 如果
是一个可测函数的序列,而且
是它的点态极限,那么f也是可测函数。6
6 Henri Lebesgue, Leçons sur l'intégration et la recherché des fonctions primitives, Gauthier-Villars, 1904, p. 111。
这是值得注意的,因为这个定理表明,我们甚至也不能通过取点态极限逾越可测函数的范围。从前面式(1)中我们曾经见过,这对于有界的黎曼可积函数是不真实的,而且我们在前面几章指出过,这对于连续函数或者那些属于贝尔的第1类函数同样是不可能的。在那些情况下,函数族的限制过于严格以至不包含它们的所有点态极限。对比之下,可测函数是明显包含点态极限在内的。
勒贝格很快指出这几个定理的一个令人着迷的推论。我们可以毫不费力地看出,常值函数是可测的,恒等函数
同样是可测的。再通过函数的相加和相乘,可知任何多项式函数是可测的。魏尔斯特拉斯逼近定理(见第9章)保证,区间[a, b]上的任何连续函数是一个多项式序列的一致收敛极限,所以根据上述定理,任何连续函数是可测的。由于同样理由,连续函数的点态极限是可测的,然而这些函数只不过是贝尔的第1类函数。这表明可微函数的导数是可测的。同时,贝尔的第2类函数,像狄利克雷函数,也是可测的,因为这些函数是贝尔的第1类函数的序列的点态极限。同样的推理揭示,每一个贝尔类中的任何函数都是可测的。
完全可以说,在1900年以前考察过的任何函数都属于勒贝格可测函数族。这是一个千真万确的庞大家族。
然而,从某种意义上说,所有这一切只是一个序幕,勒贝格正准备利用可测集和可测函数的思想作出他的最大贡献。
勒贝格积分
有界函数f的黎曼积分从把定义域剖分为细小的子区间的一个划分开始,在这些子区间上构建矩形,它们的高由函数值确定,最后令最大子区间的宽度收缩为零。相反,替代的勒贝格积分乃是基于一种简单而又富有想象力的思想:采用函数值域的划分代替定义域的划分。
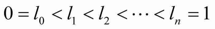
我们用图解来说明,考虑图14-3中的有界可测函数。勒贝格令
为f在区间[a, b]上的下确界和上确界,即函数的最大下界和最小上界,所以区间[l, L]包含函数的值域。于是,对于任意
,勒贝格设想区间[l, L]的一个由点
构成的划分,其中相邻分点之间的最大间隔小于ε。
图 14-3
用沿y轴的这样一个划分,我们建立“勒贝格和”。像黎曼和一样,我们将用面积已知的一些区域逼近曲线下方的区域,不过我们可以不再要求这些区域一定为矩形。相反,我们考虑沿y轴的子区间
,并且注意由
定义的[a, b]的子集
。这个子集就是图14-3中在x轴上标示出的部分。这里,
是三个子区间的并集,但是它的结构可能非常复杂,这同求积分的函数有关。
在黎曼方法的相似步骤中,我们是构造一个矩形,它的高是函数值的近似值,宽是相应子区间的长度,而其面积为这两个值的乘积。对于勒贝格积分,我们用
作为函数在集合
上的近似值,但是如果
不是区间的情形,如何去确定它的长度呢?
毫不奇怪,答案是用集合
的测度扮演这种长度的角色。我们用高乘“长度”得到的
作为黎曼和中窄小矩形之一的相应面积。在函数值域的所有子区间上对这些面积求和,我们得到一个勒贝格和
,在这个级数中我们令最后一项为
。最后,勒贝格令
,致使
的最大值也趋近零。如果通过极限过程产生一个唯一的值,我们就说f在[a, b]上是勒贝格可积的,并且定义
在继续进行讨论之前,我们必须说明两个问题。第一,很明显,集合
把区间[a, b]划分成若干子集,不过不一定是子区间。第二,我们假定f是可测的,根据式(4),这个假定蕴含每个
以及
是可测集,所以我们完全可以讨论关于
的问题。至此,一切都井然有序。
勒贝格在为一般读者编写的一本书中,用一个比喻来对比黎曼的方法与他自己的方法。1他想象一位零售商,在一天终结时想要汇总营业收入。对于这位店主来说,一种选择是“按照随机顺序计算到手的现金和账单”。勒贝格把这样一位零售商称为“缺乏系统观点的”人,他依次累加收集起来的款项:1美元,10美分,25美分,另1美元,10美分,如此等等。这种方法犹如当他们从左至右越过区间[a, b]时提取遇到的函数值。对于黎曼积分,这个过程是由定义域中的值“驱动”的,而值域中的值被搁置一旁。
1 Henri Lebesgue, Measure and the Integral, Holden-Day, 1966, pp. 181-182。
勒贝格接着指出,如果不这样做,店主在结账时不考虑收到每笔款项的顺序,而代之以按款项的面值分组,难道不是更为可取吗?例如,可能共计收到10美分12笔,25美分30笔,1美元50笔,等等。这样,计算一天的收入将变得很简单:用每种币值的数量(对应于
的测度)乘以币值(对应于函数值
),然后对结果求和。这种情况下,正如勒贝格积分的情形,其过程是由值域中的函数值驱动的,而划分定义域的
被搁置一旁。
勒贝格承认,对于商业经营中涉及的有限的量,这两种方法产生同样的结果。“但是对于我们必须求数目无限的极微小的量之和而言,”他写道,“这两种方法之间存在着巨大差别。”为了强调这种差别,他指出:
我们的积分的构造定义,同黎曼积分的定义十分相似。不过,黎曼是把变量x改变的区间剖分成微小的子区间,而我们则是剖分函数f?(x)改变的区间。2
2 Henri Lebesgue, Lecons sur l'intégration et la recherché des fonctions primitives, AMS Chelsea Publishing, 2000, p. 136。(这是我们在上面引用的勒贝格1904年的著作第2版的重印本,原书于1928年出版。)
为了说明自己并非漫无目标地追求定义,勒贝格证明了关于他的新积分的若干定理。我们将考察其中几个定理,但是不予证明。
定理 1 地如果f(x)是区间[a, b]上的有界黎曼可积函数,那么f是勒贝格可积的,并且
在两种情况下具有相同的积分值。
这个结果是令人欣慰的,因为它说明勒贝格积分保存了黎曼积分的精华。
定理 2 如果f(x)是区间[a, b]上的有界可测函数,那么它的勒贝格积分存在。
我们从这个定理看出勒贝格思想的巨大力量,因为可测函数族包含的函数远远多于黎曼可积函数(即所有那些几乎处处连续的函数)族。简而言之,勒贝格可积的函数多于黎曼可积的函数。定理1和定理2表明,勒贝格名副其实地扩充了过去的理论。
例如,我们已经知道狄利克雷函数d(x)在区间[0, 1]上是有界的和可测的。因此,尽管事实上积分
在黎曼的理论下是没有意义的,然而作为勒贝格积分却是存在的。
更为可取之处在于,这个积分值是很容易计算的。我们从值域的任意划分
着手。根据狄利克雷函数的性质,
对于这个随意的划分,勒贝格和为
正是由于对于任意划分这个勒贝格和为零,所以,所有这样的极限也为零。也就是说,
。
狄利克雷函数是处处不连续的这一事实,使它成为黎曼不可积的,但是这样普遍的不连续性对于勒贝格积分是无关紧要的。这种结果无可争辩地说明数学上取得的巨大进展。
定理 3 地如果f和g是区间[a, b]上的有界可测函数,并且几乎处处有
,那么
。
这个定理说明,改变一个可测函数在一个测度为零的集合上的值,对于它的勒贝格积分的值没有影响。对于黎曼积分,如果改变函数在有限个点上的值,不会改变积分值,但是一旦胡乱修改无穷多点上的函数值,结果就无法预料了。相形之下,勒贝格积分具备足够的抗变能力,我们可以在一个测度为零的无穷集合上改变函数值而不影响它的可积性和积分值。
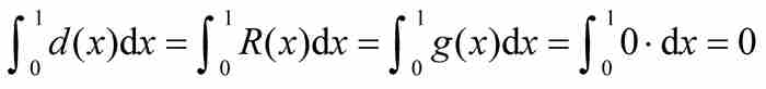
为了考查这个定理的作用,我们重温区间[0, 1]上的狄利克雷函数
和直尺函数
,并且通过引进在[0, 1]上所有点都等于0的函数,组成一个三位一体的函数
。这三个函数d, R, g自然不是全等的,因为它们在单位区间的有理数点上具有不同的值。但是从测度理论的观点看,这样的差别是微不足道的,因为
。换句话说,狄利克雷函数和直尺函数几乎处处等于零。由定理3推出
,这正是我们过去见过的结果。
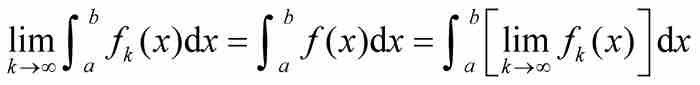
在勒贝格的论文中还有另外一个重要定理,那就是我们现在所说的有界收敛定理。3他在非常弱的条件下,证明了这个允许进行极限与积分的交换的定理。这是超越黎曼理论的一项重大进展。
3 Henri Lebesgue, Leçons sur l'intégration et la recherché des fonctions primitives, Gauthier-Villars, 1904, p. 114。
定理4(勒贝格有界收敛定理) 如果
是区间[a, b]上的可测函数序列,其中的函数以数M >0一致为界(即对于所有k≥1和[a, b]内的所有x有
),并且如果
是点态极限,那么
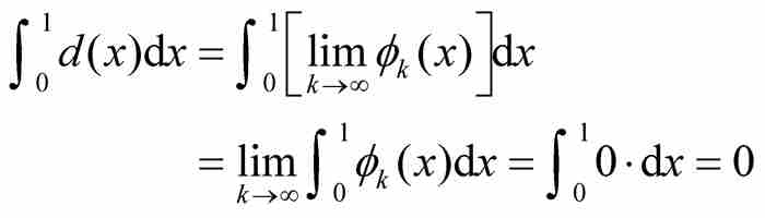
利用这个定理我们可以提出对
的第三次处理。早先我们引进了区间[0, 1]上的一个函数序列
,如在式(1)中所见,对于这个序列,
。显然,对于所有x和全部k,
,所以这是一个一致有界的函数族,同时由于每个
在除k个点之外为零,可知每个函数是可测的并且
。根据勒贝格有界收敛定理,我们再一次推出
勒贝格有界收敛定理的证明(1904)
时代铸就一个人的最后成就。我们回忆一下,沃尔泰拉曾经发现一个病态函数,它具有有界而不可积的导数。在沃尔泰拉时代, “不可积的”自然是指“不是黎曼可积的”。
然而,采用勒贝格定义的替代积分,这个函数的病态特征随之消失。因为倘若F是具有有界导数F'的可微函数,那么勒贝格积分
必定存在,这正如我们在第13章所见,F'是属于贝尔0类或贝尔1类的函数。这是使其成为勒贝格可积的充分条件。
有界收敛定理更值得称道之处还在于,它使勒贝格得以证明下面的定理。4
4 Henri Lebesgue, Leçons sur l'intégration et la recherché des fonctions primitives, Gauthier-Villars, 1904, p. 120。
定理 5 如果函数F在区间[a, b]上是可微的并且具有有界的导数F',那么
。
这是完全恢复原来的完美形态的微积分基本定理。对于勒贝格积分,为使基本定理成立,对导数无需附加限制条件,例如不必要求导数是连续的。因此,在一定的意义下,勒贝格把微积分中的这个处在中心地位的结果恢复成它在牛顿和莱布尼茨时代那种“自然的”形式。
在行将结束之际,我得承认,许许多多的技术细节在对勒贝格工作的这个简短介绍中无法顾及。对他的思想的全面论述需要花费大量的时间和篇幅,那样自然会使那些来自他的博士论文的思想越发令人惊叹!毫不奇怪,这篇学位论文出类拔萃,独树一帜。
我们引用勒贝格一则最终的评论作为结束语。在1904年那本重要的专题著作的序言中,勒贝格承认他的那些定理把我们从“优美的”函数之邦带到一个更复杂的函数王国,而为了解决那些简单陈述的具有历史意义的问题,还需要在这片王国居住下来。他写道:“这是为了解决已经提出的那些问题而不是出于对复杂事物的偏爱,我在书中引进一个积分定义,这个定义比黎曼积分的定义更具有普遍性,并且把黎曼积分作为一个特例。” 5
5 Henri Lebesgue, Leçons sur l'intégration et la recherché des fonctions primitives, Gauthier-Villars, 1904, pp. v-vi。
为的是解决历史留下的问题而不是为了使生活变得错综复杂化:这是亨利·勒贝格在他研究数学的旅程中所奉行的金科玉律。