我的位置:名著阅读 > 算法技术手册 > 使用环境

使用环境

Minimax不需要额外的记录。程序员只需要定义一个score(state,player)方法来为玩家评价局面状态,这个方法返回负数表示这个局面状态质量较差,而正数表示一个较好的局面状态。

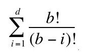
博弈树的规模由每个局面状态的可行走法决定。假设有b个可行走法。如果追寻深度为d,那么需要检查的游戏状态总数为:

假设b=10,d=6,那么需要评价的局面状态总共为187 300个。

Minimax的性能取决于评估函数的精度。在Minimax的递归调用中,评估函数需要保持一致,不会因为调用者而改变。