格奥尔格·康托尔(1845—1918)
格奥尔格·康托尔于1883年写下这样的名句:“数学的本质在于它超然的自主性。” 1 在数学家中很少有人如此彻底地信奉这个原则,也很少有人像康托尔那样如此从根本上改变了这门学科的性质。Joseph Dauben在对康托尔著作的研究中,把他描绘成“数学史上最富于想象力的和最有争议的人物之一”。2 在这一章,我们要证实这种评价为什么说是公允的。
1 Georg Cantor, Gesammelte Abhandlungen, Georg Olms Hildesheim, 1962, p. 182。
2 Joseph Dauben, Georg Cantor: His Mathematics and Philosophy of the Infinite, Princeton University Press, 1979, p. 1。
康托尔出生在一个音乐世家,在他的性情中,更多的是浪漫的艺术家那一面,而不是务实的技术专家这一面。他从事的研究工作最终使他超越数学领域而进入形而上学和神学的疆界。他提出了很多惊世骇俗的论断。例如,他声称莎士比亚的真作是弗朗西斯·培根写成的;再有,他认定自己关于无穷性的理论证明了上帝的存在。康托尔坚定不移地鼓吹这样一些信念,使他走上一条疏远支持者和助长反对者的道路。
与此同时,他在生活中也遇到麻烦。他曾一次又一次地遭受严重抑郁症的折磨,以至最后酿成反复发作的躁狂抑郁症,使他丧失一向追求的“精神活力”。3 康托尔一次又一次地被送往人们通常所说的神经病院,在那里接受他们提供的治疗。康托尔于1918年病逝在一家精神病医疗机构,走完了他郁郁寡欢的人生路。
3 Joseph Dauben, Georg Cantor: His Mathematics and Philosophy of the Infinite, Princeton University Press, 1979, p. 136。
这样的坎坷无损于康托尔在数学上取得成功。尽管遭遇不幸,他依然彻底改变了这门学科,而数学的自主性是康托尔情有独钟的。
实数的完备性
青年时代的康托尔就读于柏林大学,成为魏尔斯特拉斯的门生。在学习期间,他于1867年写了一篇关于数论的专题论文,这是一个完全不同于后来使他闻名于世的领域。他的研究工作把它引向傅里叶级数并且最终转到分析学的基础理论。
正如我们所知,19世纪把微积分的研究直接建立在极限的基础之上。这时已经清楚地看到,极限本身要依赖于实数系的性质,其中最为重要的一个性质就是我们现在所说的完备性。如今,学生们可能接触到以不同形式表达的实数的完备性,然而它们在逻辑上是等价的,例如:
C1 任何有界的非减序列收敛于某个实数;
C2 任何柯西序列存在极限;
C3 任何具有上界的非空实数集有一个上确界。
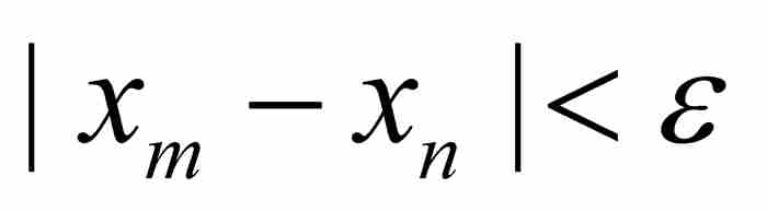
对于需要快速回忆的读者,我们提醒一下,一个柯西序列{xk}是指对于每个ε > 0,存在一个正整数N,只要m和n是大于或者等于N的正整数,就有
。换句话说,柯西序列是这样一种序列,它们的项之间变得越来越接近并且保持下去。我们在第6章简要地陈述过这种思想。
同样,称M为一个非空集合A的上界,是指对于A中的所有元素a,有a≤M;称λ为A的最小上界或者上确界,是指(1) λ是A的一个上界,(2) 如果M是A的任意上界,那么λ ≤M。对于这些概念,任何一本数学分析教科书中都介绍过。
还有一种用区间套术语定义的完备性,它在下面几章中将扮演一个重要角色。此外,为了阐明接下来做什么工作,我们需要几个定义。
一个闭区间[a, b]嵌套在[A, B]内,是指[a, b]是[A, B]的一个子集。这无异于说满足条件A≤a≤b≤B。我们进一步假定存在一个有界闭区间的序列,其中每个区间嵌套在它前面那个区间内,如像[a1, b1] ⊇ [a2, b2] ⊇ [a3, b3] ⊇…⊇ [ak, bk] ⊇…。这样一个区间序列称为递减序列。利用这种序列我们可以引进实数完备性定义的另外一种形式:
C4 任何有界闭区间的递减序列必定有同属于所有区间的公共点。
值得回顾一下,为什么我们讨论的区间必需同时是闭区间和有界区间。请看,闭区间(但不是有界区间)的递减序列
没有同属于它们之中所有区间的点;同样,有界区间(但不是闭区间)的递减序列
(用集合论中的术语)只有一个空的交集。尽管在19世纪,分析学界的前辈们通常忽略这样的差别,不过我们在应用C4之前而准备的区间将同时为闭区间和有界区间。
在实数完备性的这四种体现形式中,每一种都保证存在某个实数,它是一个序列收敛的极限,或者成为一个集合所具有的最小上界,或者是一个嵌套区间集中所有区间的公共点。在数学家们探索微积分的逻辑基础的过程中,他们认识到,这种存在对于他们在理论上追求的目标而言通常已经足够了。无须明确地求出一个实数,只要得知某处存在一个实数可能就足够了。实数的完备性所提供的就是这种保证。
人们也许会问:实数的完备性既然如此重要,那么我们如何证明这种性质的存在?为了回答这个问题,需要数学家们对实数系本身了如指掌。从自然数出发,一项直接的任务是定义整数,包括正整数、负整数和数零,再从整数定义有理数。但是我们能够从更基本的数系建立实数吗,正如通过整数定义有理数那样?
对于这个问题,给出肯定回答的是康托尔,同时,他的朋友理查德·戴德金(1831—1916)也独立地给出这种回答。
康托尔的实数系的结构以有理数的柯西序列的等价类为基础。戴德金的方法则采用把有理数分为不相交类的划分,也就是通常所说的“戴德金分割”。对于这些问题的彻底讨论将会使我们远离正题,对本书而言,用有理数构造实数是一个略微深奥的主题,而且对大多数分析学教程来说,这实际上也是颇为神秘的。然而,康托尔和戴德金成功地完成了这种构造,然后运用他们的思想证明实数的完备性,作为他们新开辟的领域的一个定理。
可以把这个成就视为微积分同几何学分离的决定性步骤。戴德金和康托尔最终回归到算术的基础——自然数,由此到达实数,然后证实它的完备性,而最终使全部分析学得以建立起来。他们取得的这个成就使他们两人获得一个贴切的但是拗口的绰号:“分析学的算术化家”。
区间的不可数性
康托尔在1874年写了一篇题为“论全体实代数数的总体性质”的论文。1 在这篇文章中他采用“区间的不可数性”作为标题,选择这个标题并不是为了定义实数。这是数学史上的一座里程碑,用Joseph Dauben的话说,这展示了康托尔“对于提出深刻的问题以及不时探索始料未及的解法以至寻求非正统答案的天赋”。2
1 Georg Cantor, Gesammelte Abhandlungen, Georg Olms Hildesheim, 1962, pp. 115-118。
2 Joseph Dauben, Georg Cantor: His Mathematics and Philosophy of the Infinite, Princeton University Press, 1979, p. 45。
很奇怪,这篇论文的重要意义被它的标题掩盖了,因为关于代数数的结果只不过是文章的真正革命性思想的一个推论,尽管是最有价值的推论。简单地说,这个思想就是一个序列不能穷举一个开区间中的全部实数。正如我们将会看到的那样,康托尔的论证包含了实数的完备性性质,因此把它放在实分析的领域是恰当的。
定理 如果{xk}是不同实数的一个序列,那么实数的任何有界开区间(α, β)含有不包括在{xk}中的一点。
证明 工康托尔从一个区间(α, β)开始,并且按照连贯的次序x1, x2, x3, x4, …考察序列。如果在这些项中没有一个或者仅有一个落入(α, β)内的无穷多实数中间,那么定理显而易见是正确的。
撇开这种情况不谈,假定区间(α, β)至少包含序列中的两个点。这时我们来确定其中的前面两项,即具有最小下标的两项。我们用A1表示较小的项,用B1表示较大的项。这个步骤在图11-1中说明。请注意,序列的起初几项落在(α, β)之外,但是x4和x7落到区间内。按照我们的定义,A1 = x7(较小的项),B1 = x4(较大的项)。
图 11-1
我们作两点简单然而非常重要的说明:
α < A1 < B2 < β;
如果某个序列项xk落入开区间(A1, B1)内,那么k ≥3。
上面第二个结论认定,在确定A1和B1时至少要用到序列的两个项,所以严格位于A1和B1之间的项必须具有k = 3或者k > 3的下标。在图11-1中,下一个这种候选项将是x8。
康托尔然后检查区间(A1, B1)并且考虑同样的两种情形:这个开区间不包含序列{xk}中的任何项或只包含{xk}的一项;或者(A1, B1)至少包含{xk}中的两项。在第一种情形,定理是成立的,因为在(A1, B1)中,因而在(α, β)中,存在无穷多不属于序列{xk}的其他点。在第二种情形,康托尔重复原先的过程,选择序列中接下来的两项,即落入区间(A1, B1)的具有最小下标的两项。他把其中较小的项标记为A2,较大的项标记为B2。如果我们考查图11-2(图中包含比图11-1更多的序列项),看出A2 = x10和B2 = x11。
图 11-2
在此显然也有两个结果:
(1) α < A1 < A2 < B1 < B2 < β;
(2) 如果xk落入开区间(A2, B2)内,那么k ≥5。
同前面一样,得出第二个结果是因为在求A1,B1和A2,B2时必须用到序列{xk}中的四个项。
康托尔继续采用这种方式。在任何一步,如果在开子区间内只剩下序列的一项或者没有序列的项,那么他能够立即求出属于(α, β)但是不属于序列{xk}的一点——实际上存在无穷多这样的点。唯一潜在的困难将出现在这个过程永不终止时,这种情况下会产生这样两个无穷序列{Ar}和{Br}:
α < A1 < A2 < A3 < … < Ar < … < Br< … < B3 < B2 < B1 < β;
如果xk落入开区间(Ar, Br)内,那么k ≥ 2 r + 1。
这样一来,我们得到一个闭有界区间的序列[A1, B1] ⊇ [A2, B2] ⊇ [A3, B3] ⊇…,其中每个区间嵌套在它前面的一个区间内。根据实数的完备性(C4),至少存在所有区间[Ar, Br]的一个公共点。就是说,存在一点c属于所有r ≥1的区间[Ar, Br]。为了最终完成证明,我们只需要确定c落入区间(α, β)之中而又不是序列{xk}的一项。
我们立即证实第一个结论,因为c是在[A1, B1]⊂(α, β)中,所以c确实落入原来的开区间(α, β)之内。
至于第二点,c有可能是序列{xk}的一项吗?如果可能,那么对于某个下标N有c = xN。由于c落入所有闭区间内,它必定落入[AN+1,BN+1]内,因此
由此推出c = xN落入开区间(AN, BN)内,所以根据上面第(2) 个结果,N≥2 N+1。自然,这是荒谬的。我们由此推断c不可能是序列{xk}中的项。
总之,康托尔证实了在区间(α, β)内存在不出现在原来序列{xk}之中的一点,这就是定理要证明的结果。
而今,在这个定理前面通常要加上少许术语。如果一个集合同自然数集之间能够一一对应,我们把它定义为可数集。序列显然是可数的,因为所需的对应表现为下标同自然数的对应。不能同自然数集一一对应的无穷集称为不可数集。于是,我们把上述结果的特征描述为实数的任何开区间是不可数的。
康托尔关于这个问题的思想演变是很有趣的。在整个19世纪70年代初期,他都在冥思苦索实数的基本性质,试图建立完全同有理数分离的实数。显而易见,完备性是一个关键性的差别,这种性质在某种程度上体现了由实数的“连续统”所指的意思。
但是康托尔开始猜测这两种集合在元素数量的充裕性上存在差异,如今我们把这种充裕性称为它们的“基数性”。康托尔于1873年11月,把他对自然数同实数可能以某种一一对应方式匹配的怀疑告诉戴德金。这个怀疑隐含这样的意思,尽管两种集合都是无限的,但是实数集的元素要多得多。
在经过所有可能的尝试后,康托尔未能对他的直觉猜测提供证明。他带着某种受挫的心理写信给戴德金说:“我异常强烈地倾向于这样一种判断,在自然数同实数之间不容许出现这样的一一对应,但是我没有找到理由。” 3 仅在一个月之后,康托尔取得了一次突破。他把他的证明作为一份圣诞节礼物寄给戴德金,并且在收到这位朋友的建议后加以整理和发表,这就是我们在上面所见的证明。持久不懈的探索终究获得报赏。
3 Joseph Dauben, Georg Cantor: His Mathematics and Philosophy of the Infinite, Princeton University Press, 1979, p. 49。
对于康托尔后来关于非可数性的“对角化”证明有所了解的读者,可能会惊奇地发现,他在1874年给出的推理是全然不同的。对角化论证出现在康托尔1891年的一篇论文中,他把它描述为一种“非常简单的证明”。4 正如我们所见,在1874年的证明中引用了完备性性质,而对角化证明适用于与完备性不相干的情形,完全不同于真正的分析约束条件。
4 Georg Cantor, Gesammelte Abhandlungen, Georg Olms Hildesheim, 1962, p. 278。
虽然后一种论证更为常见,但是前一种论证代表历史的开端,所以在这里介绍它。我们再次强调,康托尔当初的证明没有使用像可数性一类的术语,也未提出关于无限基数的特别问题。所有这些都是后来引进的。在1874年,他只证明了一个序列不可能穷举一个开区间。
但是,为什么任何人都应予关注呢?这是一个很有价值的问题,而康托尔得到了一个引人注目的答案。
再论超越数的存在
回忆一下,康托尔的论文所冠的标题是“论全体实代数数的总体性质”。到这时,已经提到了代数数,但是对于这个标题所指的这些数的“特性”尚未作任何说明。现在到了澄清这些遗漏问题的时候了。
我们已经知道,如果一个实数是某个整系数多项式方程的解,那么它是代数数。有无穷多这样的数(例如任何有理数),并且对于刘维尔来说,寻找置身于这个代数数家族之外的一个数,曾经是一件非常困难的事情。
在对这个问题深思熟虑的基础上,康托尔断言可能用一个序列列举出这种代数数。乍看起来,这似乎是十分荒谬的结论。为了证实他的断言,需要生成具有两个密切相关性质的一个序列:(1) 序列的每一项都是代数数,(2) 每个代数数均处于序列的某个位置上。要做到这一点,一种聪明的方法必然是采用某种有序的和穷举的方式,然而康托尔似乎不那么聪明。他却从引进一种新思想入手。
定义 如果
是一个整系数n次多项式,我们把它的高度定义为
。
例如,
的高度为
,而
的高度为(6 - 1) + 1 + 6 + 10 + 12 + 60 + 17 = 111。
显然,一个整系数多项式的高度必定是一个自然数。不仅如此,任何代数数有一个次数最小的多项式,我们可以假定在它的系数之间不存在除1之外的公因数。这些约定将会简化即将提出的任务。
康托尔依次收集全部代数数:首先是高度为1的多项式产生的代数数,其次是高度为2的多项式产生的代数数,然后是高度为3的多项式产生的代数数,如此进行下去。这样做是把代数数排列成一个无穷序列的关键步骤,在此用{ak}表示这个序列。
为了看清这个操作过程,我们注意高度为1的唯一的整系数多项式是
。相应的方程
的解是第一个代数数,即
。
高度为2的多项式共有4个:
置其中第一个和第二个多项式为零,产生解
,我们不再考虑这个解。置
,给出第二个代数数
;置
,给出第三个代数数
。
我们继续进行。高度为3的多项式共有11个:
,
,
当置这些多项式为零时,我们求解出4个新的代数数:
正如康托尔在其文章的标题中指出的那样,他的关注点仅限于实代数数,所以方程
的复数解对这个集合不添加新元素。
我们再往下进行。高度为4的多项式共有28个,从这些多项式可获得另外12代数数,其中有几个是无理数。例如,多项式是高度为4的多项式
,由它产生的代数数是
和
。
随着多项式高度的增加,将产生越来越多的代数数。反过来说,任何一个特定的代数数,必定出自某个整系数多项式,而这个多项式本身具有某个高度。例如,我们在第8章遇到的代数数
是多项式方程
的一个解,这个多项式的高度为111。
下面所作的几点简单说明使康托尔得以完成他的论证:
这就意味着,在寻找代数数的过程中,当我们从一个给定的高度“进入”时,必定在有限步之后从那个高度退出。我们不可能“陷进”这个高度的深渊,在那里试图列举出无限个代数数。
由此可见,具有多项式高度111的代数数
必定在序列{ak}中的某处出现。当然,确定它在序列中的位置还要花费一些时间,但是这个过程必定在有限步之后把我们引向到高度111,然后在遍历这个高度的多项式过程中,再经过有限步之后到达
。这将会决定
在序列{xk}中的位置。对于任何一个实代数数,我们可以作出同样的论断。所以,在康托尔的文章标题中提及的代数数的那个“总体特性”,按照现代的说法就是代数数的“可数性”。
至此,康托尔把他获得的两个结果结合起来:首先,一个序列不可能穷举一个区间中的全部点;其次,所有代数数构成一个序列。单独而言,这两个结果都是很有趣的。把它们结合在一起,更使他能够推断所有代数数不会占据一个开区间上的全部点。因此,在任何一个开区间(α, β)内,必定存在一个超越数。
或者,可以直截了当地说存在超越数。
自然,这是刘维尔在几十年之前已经论证的结果,那时他证明
是超越数。为了证实超越数的存在,刘维尔不懈地努力并且找到了一个超越数。
康托尔通过完全不同的方法达到同一目标。他早在1874年发表的论文中就曾许诺“对刘维尔首次证明的定理给出一个新的证明”,无疑他实践了自己的诺言。1然而,正如我们所见,在他的论证中没有包含一个特定超越数的例子。这显然是一种非直接的证明。
1 Georg Cantor, Gesammelte Abhandlungen, Georg Olms Hildesheim, 1962, p. 116。
为了对比这两种证明方法,我们用在一个干草堆中寻找一根针来作类比。我们可以想象,极端勤劳的刘维尔,穿上他的旧衣衫,徒步来到田间,在炎炎烈日之下围绕干草堆四处翻腾。几个小时过去了,他汗流浃背,逃避的猎物——一根针突然刺痛了他的手指。相形之下,康托尔则从容不迫,躲在屋子里运用纯粹的逻辑推理方法,证明干草堆的质量超过其中干草的质量。他由此推断干草堆中一定还隐藏着别的东西,就是说,质量的超出是由一根针引起的。不像刘维尔那样,康托尔依然凉爽如初和一尘不染。
有些数学家受到一种非结构性证明的困扰,这种证明依赖于无穷集合的性质。同刘维尔所做的冗长论证相比,康托尔的证明则显得过于容易,几乎像变戏法一样。年轻的伯特兰·罗素(1872—1970)对于康托尔的思想作出的第一反应,在数学家当中也许不是绝无仅有的。他在其自传中写道:
我曾经花费很长时间研究格奥尔格·康托尔的论文,并且把他论述的各种要点记到一个笔记本中。那时,我错误地认为他所作的全部论证在逻辑上是谬误的。尽管如此,我仍然从最微小的细节上深入考察了他的全部证明。后来,当我发现所有谬误竟然属于自己时,这反倒令我获益匪浅。2
2 Bertrand Russell, The Autobiography of Bertrand Russell, vol. 1, Allen and Unwin, 1967, p. 127。
像罗素一样,数学家们对于作为一位革新者的康托尔给予高度赞扬。他在1874年发表的那篇论文开创了分析学的一个新时代,其中集合论思想在应用上同魏尔斯特拉斯发明的ε - δ 方法并驾齐驱。
康托尔的工作取得许多重要结果,其中不少确实令人惊叹。例如,很容易证明,如果代数数和超越数都是可数的,那么它们的并集,即全体实数的集合,必然也是可数的。由于这个结论是不正确的,康托尔由此识破超越数构成一个不可数的集合,因此在数量上远远超过它们的“表亲”代数数。对于这两种数的多寡之分,Eric Temple Bell给出这样的描述:“代数数犹如镶嵌在长空夜幕下的点点繁星,而浓黑的万里长空则是超越数的苍穹。” 3 这是一种令人陶醉的难以想象的感受,因为充足的数似乎是稀疏的,而稀疏的数似乎是充足的。在一定的意义上,康托尔证明了超越数是干草堆中的干草而不是掉进草堆中的针。
3 Eric Temple Bell, Men of Mathematics, Simon & Schuster, 1937, p.569。
还有一个相关的但意义更深远的结果,那就是 “小”无穷集合同“大”无穷集合之间的区别。康托尔证明了,一个可数集尽管是无穷的,然而当把它和不可数集相比时,它的无穷性却是无足轻重的。随着他的思想的确立,数学家们逐渐认识到,在解决重要问题中,如此不值一提的可数集无疑是值得使用的。
我们将会看出,小集合和大集合之间的对立也会出现在其他的分析学环境中。在19世纪初,勒内·贝尔发现了一种“大”与“小”的对比,这种分歧出现在他所说的集合的“类型”中,而亨利·勒贝格在他称为“测度”的度量中发现了另外一种对比。虽然基数、类型和测度是不同范畴的概念,但是它们都提供一种比较集合的手段,在数学分析中被证实是很有价值的。
康托尔还致力于解决有关无穷集合的其他问题。其中之一是:“存在比区间的基数更大的不可数集吗?”关于这个问题他给出肯定的回答。另外一个问题是:“存在基数介于可数序列和不可数区间之间的一种无穷集合吗?”在解决这个问题时,他没有取得成功。由于康托尔的远见卓识和不断的研究,集合论迎来了它自身的发展时期,在这个阶段它完全脱离固有分析学所关注的问题。不过,这一切都源于1874年康托尔所写的那篇论文。
同许多推翻历史的革命家不一样,康托尔在有生之年亲眼见到他的思想被广大学术界接受。一位最早的推崇者是上面提到罗素,他把康托尔描绘为“19世纪最伟大的知识分子之一”。4 这是出自一位数学家、哲学家和诺贝尔奖得主的非同寻常的赞誉。
4 Bertrand Russell, The Autobiography of Bertrand Russell, vol. 1, Allen and Unwin, 1967, p. 217。
康托尔的另外一位赞颂者是意大利的数学奇才维托·沃尔泰拉。他的工作将魏尔斯特拉斯的分析学同康托尔的集合论巧妙地结合在一起,这正是我们在下面一章要讨论的主题。