关于微积分的演化历程,我们讲述到了1873年,此时离欧拉辞世将近一个世纪,而距牛顿和莱布尼茨初创微积分已逾两个世纪。及至这时,柯西、黎曼和魏尔斯特拉斯为推进微积分严格化而做的工作,足以令随后可能登场的任何后世的伯克莱们三缄其口。那么,在分析学中还遗留着有待攻克的难题吗?
答案当然是……“当然”。当数学家们竭尽全力建立像连续性和可积性这样一些基本概念时,他们取得的巨大成功也引出了连带的问题,这些问题或者具有诱惑力,或者极端困难,或者既富诱惑力又极端困难。有许许多多独具特色的例子,从这些例子中可以窥视未来的研究途径,而魏尔斯特拉斯的病态函数就是这些例子中最著名的一个。下面我们将要考察几个其他的例子,这些例子将在本书其余几章讨论。
第一个例子就是通常所说的“直尺函数”,是在约翰尼斯·卡尔·托梅(1840—1921)于1875年所写的一本书中提出的,这是一个简单但是带有挑战性的例子。他在介绍直尺函数时用这样的开场白:“在单独的点连续或者不连续的可积函数是五花八门的,但是最重要的是识别那些通常是无限不连续的可积函数。”1
1 Johannes Karl Thomae, Einleitung in die Theorie der bestimmten Integrale, Halle, 1875, p. 14。
托梅函数是在开区间(0, 1)上由
定义的函数。由此可知,
,而
。图10-1显示这个函数在
之上的部分图形;在
之下,图中散列点的密集程度是难以想象的。这个图形由于呈现一条直尺上的垂直刻度,因而得名。
图 10-1
应用前一章引进的
定义,很容易证明下面的引理。
引理 如果a是区间(0, 1)内的任意点,那么
。
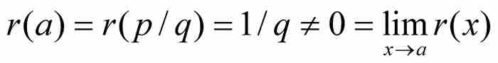
证明 对于
,我们选择一个满足
的自然数N。证明依据如下结果:在区间(0, 1)内仅有有限个最简形式的有理数是以N或者更小的自然数作为分母的。例如,以5或者小于5的自然数作为分母的这种分数有1/2, 1/3, 2/3, 3/4, 1/5, 3/5和4/5。由于这个集合是有限的,我们可以求出一个足够小的正数δ,使得区间(a-δ, a+δ)落入(0, 1)内,并且这个区间不包含这些分数(a除外)。现在选择满足0<|x-a|<δ的任意x,并且考虑两种情形。第一,如果x=p/q是最简形式的有理数,那么
,因为只要
在区间(a-δ, a+δ)内,q必定大于N。第二,如果x为无理数,那么同样有
。无论哪一种情形,对于
,我们已经求出一个
,只要
,就有
。根据函数的极限的定义,
。
以这个引理作后盾,我们可以证明直尺函数具有极为惊人的性质:它在区间(0, 1)的每个无理数点是连续的,而在其中每个有理数点是不连续的。这是立即可得的结果,因为如果a为无理数,那么根据引理,有
——恰好符合r(x)在x=a连续的柯西定义。另一方面,如果a=p/q是一个最简形式的有理数,那么
所以直尺函数在x=a是不连续的。
这个结果向我们展现一种奇特的情景:直尺函数在无理数点是连续的(我们越来越不可靠的直觉把它视为“不间断的”),而在有理数点是不连续的(“间断的”)。绝大部分人会发觉,函数的连续点同不连续点能够如此缠结在一起是难以想象的。但是,上面的数学论证是明确无误的而不是模棱两可的。
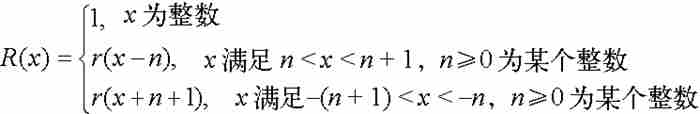
我们把直尺函数的定义域从区间(0, 1)扩展到全部实数集,这将会是有用的。为此目的,令新函数在每个整数点取值1,并且把r(x)的拷贝置于每个子区间(1, 2), (2, 3), …之上。更确切地说,我们定义扩展的直尺函数R为
按照上面的定义,对于任何实数a,我们有
,所以R在每个无理数点是连续的,而在每个有理数点是不连续的。
直尺函数提出一个自然的问题:“怎样反转角色方能创建一个在每个有理数点连续而在每个无理数点不连续的函数?”这个问题虽然说起来非常简单,但是它的解答是很深奥的,而且是极为有趣和令人着迷的。这将是下一章讨论的主题。
直尺函数R值得注意的另一个原因,在于它不连续的范围尽管是无限的,然而它在区间[0, 1]是可积的。自然,这就是托梅在上面那本书的开场白中道出的实质。为了证明这一点,我们利用第7章中的黎曼可积性条件。
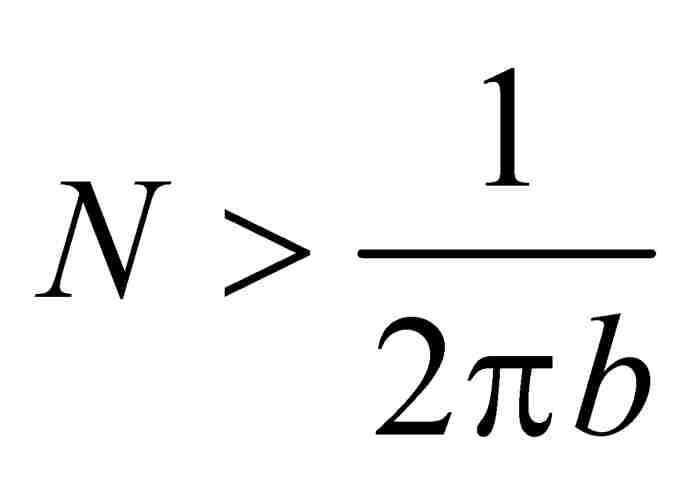
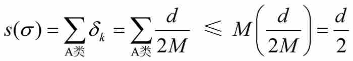
我们从一个d > 0的值和一个固定的函数振幅 σ> 0开始。然后选择一个满足1/N < σ 的自然数N。按照前面的论证,我们知道区间[0, 1]仅含有有限个最简形式的有理数p/q,使得R(p/q)≤1/N,也就是说,这些最简形式的有理数的分母不大于N。我们令M为这种最简形式的有理数的个数,并且划分区间 [0, 1]使其中每个最简形式的有理数落入宽度为d/2 M的一个子区间内。我们把这些子区间称为A类子区间,也就是函数振幅超过σ的子区间。用黎曼的术语,我们有
所以当
时
。这正好是黎曼需要建立的可积性条件。换句话说,积分
存在。当知道这个积分存在后,我们很容易进一步证明
。
应当说明,直尺函数所扮演的角色同第7章中的黎曼病态函数是相仿的。这两种函数都是无限不连续的,然而又都是可积的。它们之间的主要差异在于直尺函数更为简单,而在某些情况下,小小的简单性却是不可轻视的。
这些例子提出一个令数学家们神往的问题。回忆一下,狄利克雷函数是处处不连续的和非黎曼可积的。相反,直尺函数仅在有理数点是不连续的,并且是可积的。毫无疑问,直尺函数存在一种极端的不连续性,然而它仍然具备足够的连续性使其成为可积的。凭借这样的证据,数学家们猜测,一个黎曼可积函数虽说可能是不连续的,但是不至于过分地不连续。函数的连续性与可积性问题将使分析学家们在19世纪剩余的岁月忙得不亦乐乎。从本书最后一章我们会看到,这个举世瞩目的问题是由亨利·勒贝格着手研究并于1904年最终解决的。
我们在下面举出的三个例子是相互关联的,所以可以把它们放在一起考察。像直尺函数一样,这几个函数具有令人惊奇的特性,所以是大多数分析学教科书务必讨论的。
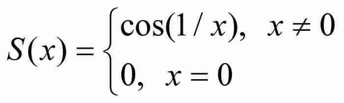
首先,我们定义函数
并且在图10-2中画出它的图形。当x趋近零时,其倒数1/x无限增加,致使cos(1/x)在原点的任何邻域内从-1到1无限次地来回摆动。如果用一种委婉的说法,那就是函数S(x)在原点附近剧烈地振荡。
通过引进序列
,并且考察函数图形上对应于
的点,我们证明不存在极限
。如图10-2中所示,我们的函数交替地选取峰值与谷值。就是说,我们有
,但是
。由于后面这个极限不存在,极限
也就不存在,而这本身又意味着
在
是不连续的。
图 10-2
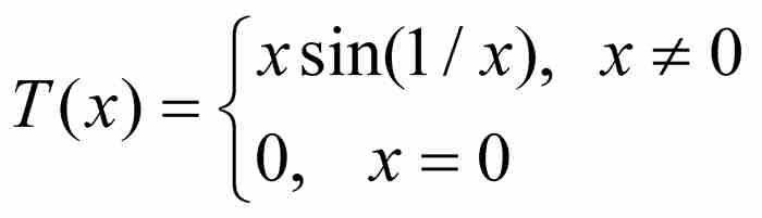
与此相关的第二个函数是
它的图形在图10-3中给出。由于函数定义中包含乘数x,当x趋近原点时T的无限次振荡逐渐衰减。
图 10-3
在任何非零点,T是两个连续函数
和
的乘积,所以它本身是连续的。由于
和
,挤压定理保证
,所以T在
也是连续的。总之,T是一个处处连续的函数。它经常被作为一个例子引用,用来说明函数是“连续的”与“一笔就可以画出图形”不是同一回事。在初级微积分教程中,后面这种表述可能算是一种有用的特征,但是在原点的邻域内,不可能用所有这样上下振荡的值绘制
的图形。
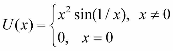
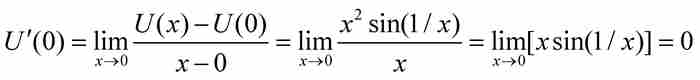
最后,我们来考察第三个函数,这是三个相关函数中最富刺激性的函数,其定义为
表达式中的二次系数x2加速函数曲线在原点附近的衰减。由于U(x) = xT(x),而其中两个因式是处处连续的,所以U是处处连续的函数。
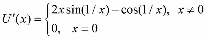
这时困难在于可微性。在任何点
,U无疑是可微的,并且由微分法则有
。函数在
也是可微的,这是因为
其中最后一个极限利用了我们刚见到的同样的“挤压”。所以,尽管函数U的值在原点附近无限次地上下摆动,它在那里依然具有一条水平切线。
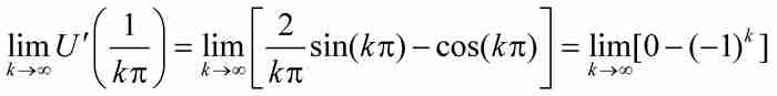
我们证明了U是处处可微的,它的导数为
可惜这个导数不是连续函数,我们只要再次考虑序列{1/kπ},并且注意极限
并不存在,就知道这一点。因此,
是不存在的,所以
在
是不连续的。总之,U是一个具有不连续导数的可微函数。
这个例子不禁使我们想起那个著名的定理:一个可微函数是连续函数。对于这个定理作出如下修正是自然的:“一个可微函数的导数必定是连续函数。”然而,函数U(x)这个例子表明,这个修正是错误的。
这三个函数同样使连续性同介值定理之间的关系出现混乱。正如我们所见,柯西曾经证明,一个连续函数必定遍取介于它的任何两个值之间的所有值。可以把这个几何上不言而喻的事实看作连续性的本质,而人们据此可以推测,一个函数是连续的,当且仅当它在定义域的每个区间上具备介值特性。
但是,这个猜想再次被证明是错误的。让我们考虑上面第一个例子的函数S(x),把它作为一个反面例子。我们已经看出S在原点是不连续的,但是可以断定它在每个区间上具备介值特性。
为了证明这种特性,假定对于a < b有
。根据余弦函数的性质,我们知道
。现在考察下面两种情况。
首先,如果0 < a < b,或者a< b < 0,那么S在整个区间[a, b]上是连续的,所以根据介值定理,对于(a, b)中的某个c有S(c) = r。
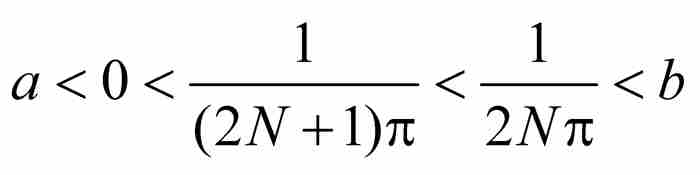
其次,如果a< 0 < b,我们可以固定一个满足
的自然数N。于是,有
,并且当x在正数
与
之间取值时,1/x在2 Nπ与
之间取值。在这个过程中,
的值从
连续地变化到
。根据介值定理,在
与
之间(并因此而在a与b之间)必定存在一个满足
的c。上述断言由此得以证明。
总而言之,我们列举的三个例子证明了一个可微函数的导数并非一定是连续的,同时,具备介值特性的函数未必一定是连续函数。这两个结论似乎显得离奇,然而还有一个更令人吃惊的结果。
这个结果是由法国数学家伽斯腾·达布(1842—1917)发现的。达布以对分析学的两大贡献而闻名于世。第一,他简化了黎曼积分的推演,以简便得多的方法达到同样目的。当今的分析学教科书在导入积分时,倾向于采用达布精致的处理步骤而不用黎曼原来的方法。
不过我们在这里要提出的是达布的第二个贡献。那就是现在所说的“达布定理”,他在这个定理中证明了函数的导数虽然不一定是连续的,但是必定具备介值特性。达布的论证依据是任何一本分析学入门教材都要介绍的两个结果:其中一个是,连续函数在有界闭区间上取一个极小值;另一个是,如果g是可微函数,并且在区间(a, b)内的点x = c具有一个极小值,那么
。
达布定理 如果f (x)是区间[a, b]上的可微函数,而r是任意一个满足
的数,那么在(a, b)内存在一点c满足
。
证明 我们从引进一个新函数
入手。由于f是可微的,它是一个连续函数,而rx也是连续的,所以g在[a, b]上是连续的。进一步说,g是可微的,因为
。
在[a, b]内存在一点c, 函数g在这个点取一个极小值。由于
,而
,我们看出极小值不可能出现在端点a和b,所以c位于(a, b)内。于是,根据上面引述的第二个结果,
,或者简单说
因此
取介于
和
之间的这个中间值r,正如定理的要求。
读者不妨回忆一下柯西对中值定理所作的证明,为了推断函数取中间值,他假定函数的导数是连续的。如今我们看出,柯西可以抛开他的假设而不必舍弃其结论。从达布定理还可以推出,一个不具备介值特性的函数,例如狄利克雷函数,不可能成为某个函数的导数。
达布证明了导数与连续函数同样具有介值的特性。这又提出另外一个问题:“一个导数到底在何等程度上是不连续的?”我们在本书第13章将会看到,对于这个问题,勒内·贝尔在1899年提供了一个答案。
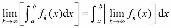
如果说导数遇到麻烦,那么积分会遇到更大的麻烦。以往我们指出过,即使函数序列{fk}是点态收敛的,对于取极限和求积分的过程,一般不能推断
(1)
魏尔斯特拉斯证明了一致收敛是保证交换极限与积分的充分条件,但是不能反过来成为必要条件。这就是说,已经发现若干函数序列{fk}的例子,它们是点态收敛而非一致收敛的,但是式(1)对它们依然成立。数学家们或许忽略了某个中间条件,这种条件不具有一致收敛那样强的限制,却使我们能够进行所渴求的对取极限与求积分的交换。
或者——乍看起来这是极端不可能的“或者”,黎曼积分的定义也许存在缺陷。按照黎曼的做法,他在处理积分中可能误入歧途,走上一条需要某些特殊条件才能使式(1)成立的道路。倘若果真如此,那么可以把他的积分视为不完善的。
从表面上判断,这无异于异端邪说,因为黎曼积分已经成为数学分析的支柱。达布把它描述为“唯有最聪慧的人才能取得的”一个创举。2 保罗·杜布瓦·雷蒙则这样表达他的信念,黎曼的定义是无法再改进的,因为它把可积性的概念延伸到最大限度。3 不过,正如我们将会见到的那样,种种美中不足促使大家研究定义范围更广阔的积分。这一研究的结果就是20世纪初建立的勒贝格积分论。
2 E. Hairer and G. Wanner, Analysis by Its History, Springer-Verlag, 1996, p. 219。
3 Thomas Hawkins, Lebesque’s Theory of Integration, Chelsea, 1975, p. 34。
概括起来说,上述几个函数提出了这样一些问题:
虽然这里并没有列举所有的问题,但是已经举出的这些问题是数学分析在19世纪的最后四分之一世纪所面对的关键性问题。由于这些问题的特殊本质,在柯西、黎曼和魏尔斯特拉斯对分析学作出贡献之前是很难被提出来的,就更不用说给予回答了。随着问题变得越来越复杂,求解也就需要越来越周密的推理。在本书余下的几章中,我们将简要地阐述如何寻找这四个问题的答案。
不过,我们的第一站将停留在格奥尔格·康托尔于1874年所写的一篇论文上,正是这位天才促成了集合论的诞生,并且运用他的思想重新证明了超越数的存在。他的成就同时说明这样一个道理,对于人们长期以来认为已经解决的问题再展开思考,还是会大有裨益的。